
主编:褚君浩
国际标准刊号:ISSN 1001-9014
国内统一刊号:CN 31-1577
国内邮发代号:4-335
- 浏览排行
- 引用排行
- 下载排行
陈凯豪 , 徐志成 , 梁钊铭 , 朱艺红 , 陈建新 , 何力
2021, 40(3):285-289. DOI: 10.11972/j.issn.1001-9014.2021.03.001
摘要:基于分子束外延(MBE)生长技术获得了高量子效率的InAs/GaSb T2SLs中波红外(MWIR)光电探测器结构材料,表现出了层状结构生长的光滑表面和出色的晶体结构均匀性。此超晶格中波红外探测器的50%截止波长约为5.5 μm,峰值响应率为2.6 A/W,77 K下量子效率超过了80%,与碲镉汞的量子效率相当。在77 K,-50 mV偏压下的暗电流密度为1.8×10-6 A/cm2,最大电阻面积乘积(RA)(-50 mV偏压)为3.8×105Ω·cm2,峰值探测率达到了6.1×1012 cm Hz1 / 2/W。
任文帅 , 胡二涛 , 涂华恬 , 徐磊 , 江岸青 , 贺蓉 , 韦玮 , 吉江修 , 王松有 , 赵海斌 , 张荣君 , 郑玉祥 , 李英白 , 陈良尧
2021, 40(3):290-296. DOI: 10.11972/j.issn.1001-9014.2021.03.002
摘要:理论上研究了吸收层材料的光学常数,该常数满足从紫外线到近红外波长范围的四层结构的光子-热转换的高效率。通过使用有效介质近似(EMA)模型,复合材料(金属陶瓷)的光学性能与模拟材料的光学性能非常吻合。此外,提出了使用Ti-MgF2金属陶瓷作为吸收层的具有高光子-热转换效率的四层膜结构,其在300~1 600 nm的波长范围内具有约95.1%的高吸收率。研究结果为实现高效率的光热转换器件提供了新途径,显示了优良的应用前景。
陆荣国 , 林瑞 , 沈黎明 , 蔡松炜 , 王玉姣 , 陈进湛 , 杨忠华 , 吕江泊 , 周勇 , 王小菊 , 刘永
2021, 40(3):297-301. DOI: 10.11972/j.issn.1001-9014.2021.03.003
摘要:文章提出了一种3-
谢明章 , 李留猛 , 李明 , 叶艳 , 张金中 , 姜凯 , 商丽燕 , 胡志高 , 褚君浩
2021, 40(3):302-307. DOI: 10.11972/j.issn.1001-9014.2021.03.004
摘要:报导了在c-Al2O3衬底上用脉冲激光沉积法制备MoS2薄膜,并测试了其不同温度下的光响应。通过拉曼散射光谱和X射线衍射光谱证明了所制备的二硫化钼为纯2H相。通过X光电子能谱证明了所制备的二硫化钼硫钼原子比为1.92:1,在Mo元素的3d核心能级谱中存在红移和蓝移,说明薄膜中存在氧化和硫缺陷。此外,通过拉曼和光致发光分布图,证明了薄膜具有良好的均一性。在不同层数的二硫化钼样品中,单层二硫化钼样品具有最强的光响应,达到3 mAW-1。单层二硫化钼的变温光响应实验表明,在室温附近,温度升高会提高二硫化钼的光响应强度和响应时间。
2021, 40(3):308-313. DOI: 10.11972/j.issn.1001-9014.2021.03.005
摘要:借助有限元软件分析了原始探测器模块和加入Kovar平衡层探测器模块的应力分布情况,模拟结果表明,增加Kovar平衡层后,探测器HgCdTe外延层上的热应力有所减小,而探测器芯片表面中心位置处的形变量明显减小。在不改变平衡层材料前提下,当平衡层厚度为0.2 mm、0.5 mm、1 mm、1.5 mm和2 mm时,HgCdTe芯片的最大应力随平衡层厚度的增加呈现先大幅度减小后小幅度增加的趋势,在厚度取1 mm时探测器芯片的最大热应力值最低。通过增加Kovar平衡层可有效改善大面阵红外探测器芯片的热应力水平。
卢玥 , 许昊 , 李晓温 , 彭芳 , 孙艳 , 王丁 , 郝加明
2021, 40(3):314-320. DOI: 10.11972/j.issn.1001-9014.2021.03.006
摘要:增强可见-近红外光吸收在光电信号转换、探测、通信及传感等众多领域具有重要应用潜力。本文基于吉尔-图诺伊斯谐振腔(Gires-Tournois resonator)共振吸收原理,利用Al/Al2O3/Al三层膜结构制备了可见到近红外波段全铝基平面薄膜堆栈型超构吸收器。通过合适的参数优化选取,实现了吸收峰位连续可调。吸收峰值接近100%,变角度反射光谱显示器件对入射角度不敏感,理论数值模拟计算结果与实验结果相互吻合。完美吸收峰在500 nm附近的吸收器在532 nm激光照射下快速升温,最高温度可达55.4 ℃,表明该结构在光热转化领域的潜在应用。
宋志勇 , 商丽燕 , 陈平平 , 褚君浩 , AKIO Yamamoto , 康亭亭
2021, 40(3):321-328. DOI: 10.11972/j.issn.1001-9014.2021.03.007
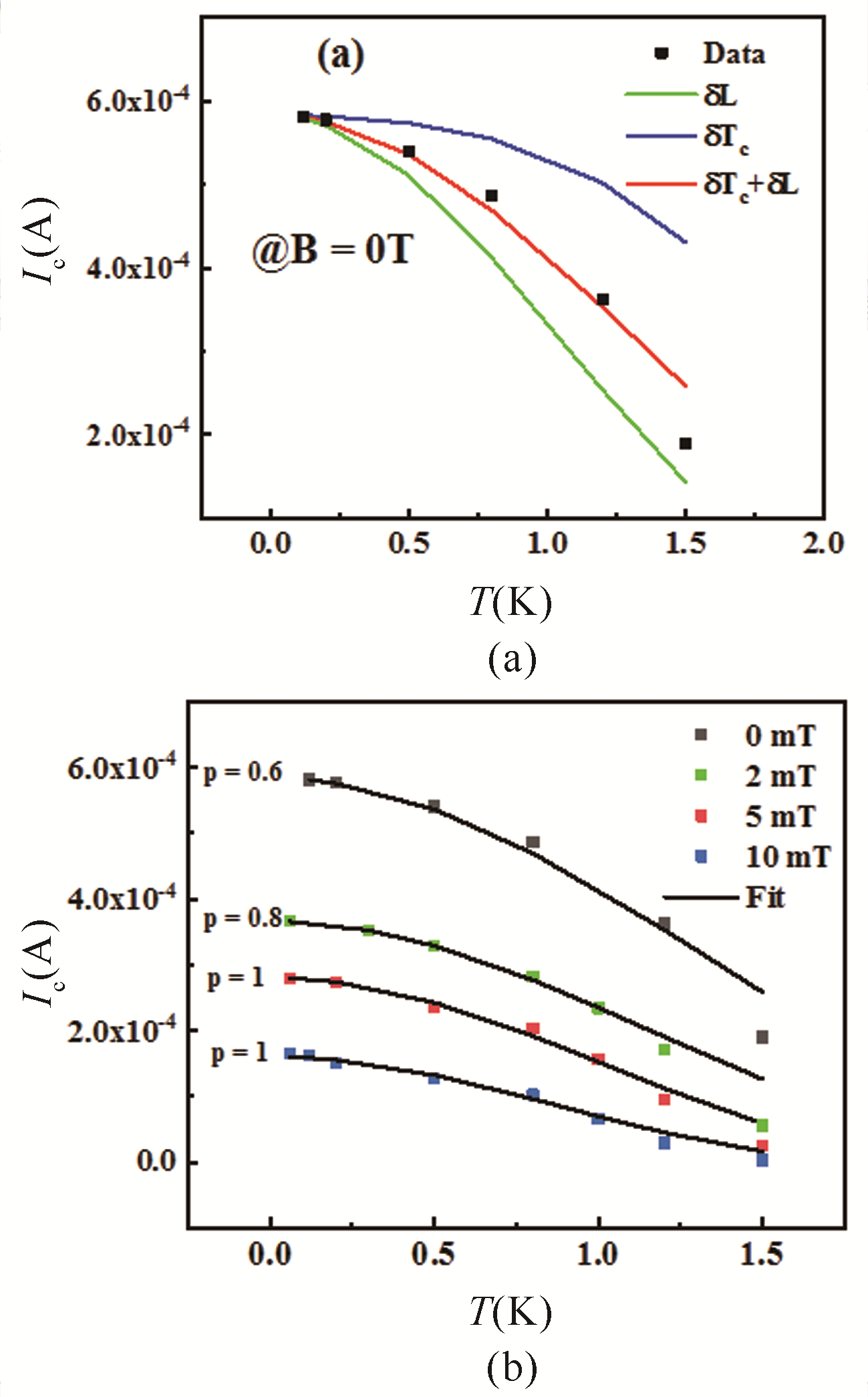
摘要:InN是三五族半导体中唯一具有超导性质的材料,在超导体/半导体混合器件领域具有重要的应用价值。运用磁输运的方法,系统性地研究了磁通钉扎对InN超导性质的影响。通过对超导转变过程中的I-V曲线进行标度,发现InN超导中存在涡旋液体态到涡旋玻璃态的相变。在涡旋液体态,用热激活磁通蠕动模型分析了磁通运动的机制,发现InN超导中存在单磁通钉扎到集体钉扎的转变;在涡旋玻璃态,首先对临界电流与温度的关系进行了分析,确定了InN超导中主要的磁通钉扎机制:δL钉扎。然后对临界电流与磁场的关系进行了分析,发现临界电流在磁场下的迅速衰减是集体钉扎所导致的结果。最后,基于Dew-Hughes模型,对钉扎力与磁场强度的依赖关系进行了分析,发现InN中的钉扎中心的主要是点钉扎。该研究为提高InN的临界电流密度奠定基础。
2021, 40(3):329-333. DOI: 10.11972/j.issn.1001-9014.2021.03.008
摘要:对不添加镇流电阻的非均匀发射极条间距的多发射极条异质结双极晶体管(HBT)的射频功率性能和表面温度分布进行了测量,并与常规采用镇流电阻的多发射极条功率HBT进行了比较。实验结果表明,对具有非均匀发射极条间距的多发射极条HBT,采用US QFI TMS红外测量系统测得的最高表面温度、温度分布均匀性以及采用射频测量系统测得的射频功率增益和功率附加效率,分别低于、好于和高于具有镇流电阻的多发射极条功率HBT的情况。这些结果的取得,得益于采用非均匀发射极条间距改善了多发射极条HBT的热电正反馈和不同发射极条之间的热耦合,以及摆脱了传统HBT加镇流电阻带来的对射频功率性能的负作用。
2021, 40(3):334-340. DOI: 10.11972/j.issn.1001-9014.2021.03.009
摘要:针对移动毫米波通信场景中收发波束存在角度偏差时接收信号质量急剧下降的问题,提出一种基于自适应无迹卡尔曼滤波(AUKF)原理的波束跟踪算法。针对低复杂度对于移动场景的适用性,该算法设计了一种有效的波束跟踪方案,在模拟波束形成架构中通过训练一个波束对以跟踪一条电磁波路径来保持有效的毫米波通信。通过引入自适应调节因子,在系统存在异常扰动时候,可以自适应调节预测和观测协方差矩阵,提高估计精度和收敛速度。仿真结果表明,所提的自适应无迹卡尔曼滤波算法明显降低了移动环境中的波束跟踪误差,具有稳健的波束跟踪能力。
乔鸿展 , 钟凯 , 史杰 , 刘阳 , 刘科飞 , 徐德刚 , 姚建铨
2021, 40(3):341-346. DOI: 10.11972/j.issn.1001-9014.2021.03.010
摘要:针对目前太赫兹频段雷达散射截面(RCS)测量动态范围较小的问题,提出了一种结构分段定标结合数据分段处理的大动态范围RCS获取方法。基于相对定标理论分析了单一定标测量方式对RCS测量范围与测量精度的限制,并通过对光滑金属球与圆柱的实验测量进行了验证。通过光滑金属平板的RCS测量讨论了衰减元件的引入对系统测量精度与测量范围的影响。在此基础上,利用结构分段定标结合数据分段处理对弹头模型的RCS进行了测量,成功获得了弹头模型的主要散射特征,实现了目前已知最高的63 dB动态范围,测量结果与仿真计算结果一致。
高鸾凤 , 胡玉禄 , 朱小芳 , 胡权 , 李建清 , 李斌
2021, 40(3):347-352. DOI: 10.11972/j.issn.1001-9014.2021.03.011
摘要:多电子注集成实现微波放大是毫米波行波管获得大功率微波的一种实用化途径,研究了一种多注集成阵列梳齿型慢波结构(MCW)。该慢波结构具有天然的电子注通道,同时耦合阻抗明显高于单注的梳齿型慢波结构(DCW)。为了验证该特性,使用Ka波段三注集成阵列梳齿型互作用回路进行了仿真和实验研究。互作用电路的材料选取高电导率无氧铜,通过CNC铣削的工艺进行加工。冷测实验发现仿真和测试的结果具有很好的一致性,且在32~39 GHz的带宽内,S11小于-15 dB。在仿真软件CST PIC工作室中,50个周期的慢波结构与三个电子注(每个电子注的电压为12.9kV,电流为67mA)进行注波互作用模拟仿真。仿真表明,MCW在32~36 GHz的带宽内比DCW具有更高的输出功率,增益和电子效率。该器件的最大输出功率约为132.8 W,相应的电子效率为5.12%,增益为41.2 dB,大于DCW的1.2%和25 dB。MCW行波管的高功率和高效率特性,使其在基于点对多点传输的毫米波无线系统中具有潜在的应用价值。
2021, 40(3):353-362. DOI: 10.11972/j.issn.1001-9014.2021.03.012
摘要:灵敏度是重要的遥感器辐射性能指标。本文将红外高光谱大气探测仪仪器噪声灵敏度概念拓展,定义了面向探测仪在轨应用的大气参数灵敏度和地表温度误差灵敏度,给出了相应的计算模型和相互关系。并将之应用于第一台静止气象卫星红外高光谱大气探测仪FY-4A GIIRS在轨应用探测灵敏度评估。根据探测仪测试数据和大气历史统计资料,得到了大气参数(温度、水汽、臭氧、CO2、CH4和N2O)、地表温度误差以及探测仪噪声灵敏度随通道的定量变化特征,分析了各变化特征的物理机制。结果表明大气温度、水汽和臭氧灵敏度远大于探测仪噪声和地表温度误差灵敏度,而CO2、CH4和N2O灵敏度被探测仪和地表温度误差灵敏度淹没。本文研究为红外高光谱大气参数探测信噪比评估奠定了基础,有助于红外高光谱大气探测通道的优选。
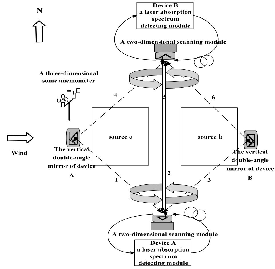
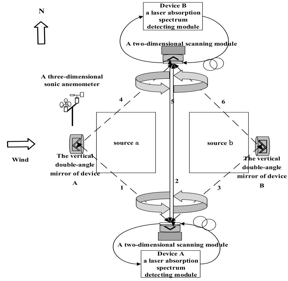
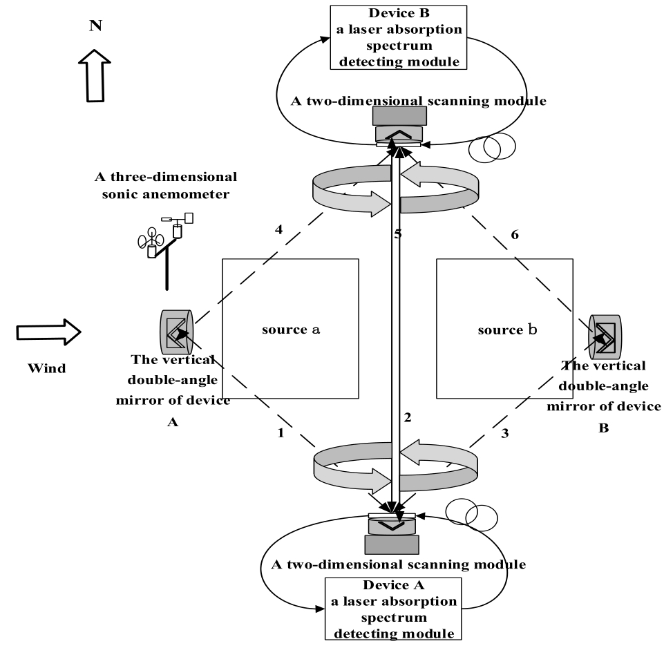
唐七星 , 张玉钧 , 何莹 , 王立明 , 李梦琪 , 尤坤 , 李潇毅 , 陈东 , 刘文清
2021, 40(3):363-368. DOI: 10.11972/j.issn.1001-9014.2021.03.013
摘要:在面源气体排放的测量过程中,不可避免地受到相邻田地气体排放干扰,又受到环境扰动的影响,影响气体检测的准确性。为了提高测量精度,研究了基于激光光谱检测的复合面源甲烷非均匀排放测量方法。通过多次自标定测量,减少了外部环境的干扰。设计了非均匀面源排放物检测系统,并提出了消除气体波动检测方法。首先进行了准确性验证试验,待测源a的标准差为0.17,待测源b的标准差为0.18;随后与光声光谱抽取式进行了对比试验,相关系数达到0.91;最后开展了外场实际的测量应用,对不同施肥方式造成的两个不均匀排放待测源进行监测,实现对多源不均匀排放的准确测量。它具有农业气体排放,环境气体检测等实用工程价值。
2021, 40(3):369-380. DOI: 10.11972/j.issn.1001-9014.2021.03.014
摘要:提出了一种新的解决夜光遥感复杂背景问题的单阶段深度卷积检测网络,首先通过提取高维特征再特征选择的思想设计分类网络提取语义特征,并研究不同的通道数网络对降噪的影响;提出灰度能量的先验框匹配,将低噪声高质量的匹配框输入SSD检测网络,并使用积分图思想简化计算;使用可变形卷积以适应目标的形变,并获取更强的几何特征表达能力;通过加入顺序连接与密集连接改进全局语义模块,引入了网络的跨层信息交互,其注意力图综合考虑了高低感受野以有效区分小型目标和背景噪声。在夜光遥感数据集上通过实验验证了所设计的网络相比于其他单阶段网络具有优势,对于复杂背景下的建筑区具有较好的检测效果。
2021, 40(3):381-390. DOI: 10.11972/j.issn.1001-9014.2021.03.015
摘要:全波形机载激光雷达数据记录了完整的回波波形,包含了目标的立面细节和后向散射系数等信息,但是这些信息无法在未经处理的情况下直接获取,波形分解是处理波形数据以提取有效信息的重要方法。针对波形分解中常用的参数优化算法对初值敏感,易陷于局部最优的缺点,提出一种基于改进差分(Modified Differential Evolution, MDE)算法的波形分解方法:以广义高斯函数为模型,在预估初值后,将全局优化的MDE算法用于参数优化,最终生成点云。实验结果表明,与基于其他优化算法的波形分解方法相比,该方法在分解精度以及点位精度等方面都有提高。
张贝贝 , 王宁 , 姚微源 , 钱永刚 , 马灵玲 , 李传荣 , 唐伶俐 , 刘耀开 , 高彩霞
2021, 40(3):391-399. DOI: 10.11972/j.issn.1001-9014.2021.03.016
摘要:一氧化碳(CO)在热红外波段吸收强度弱且吸收区内具有较多的干扰信号,利用热红外数据反演高精度CO廓线的难度大。超光谱红外探测仪的开发和应用,为提升CO廓线的反演精度提供了可能。然而,随着超光谱热红外数据分辨率的上升、通道之间的间隔变窄,这在给数据引入特有可反演信息的同时产生大量冗余信息。为了保证反演精度和效率,有必要对通道进行选择来获取包含最大可反演信息的通道同时剔除冗余信息。提出了一种同时考虑通道灵敏度和权函数特性的峰采样通道选择方法,用于从超光谱红外数据中反演CO廓线。该方法首先通过分析通道对不同气体的灵敏度情况,去除受其他气体干扰较大的通道获得初选通道。然后,分析初选通道的权函数特性后发现,位于CO亮温变化谱线中峰顶和峰底的通道分别包含了不同大气层的CO反演信息,将这些通道选取为最终通道选择结果。以阿拉善沙漠地区、京津地区、长江三角洲及珠江三角洲的冬夏晴空大气为主要研究对象,比较峰采样法与最优灵敏度剖面法(OSP)所得的通道选择结果及相应的CO廓线反演精度。结果表明,该方法选择的通道比OSP方法选择的通道能覆盖更宽的光谱范围且包含更多的CO反演信息。而且,峰采样通道选择方法的应用可以有效提高本文所研究区域和季节的CO廓线反演精度,其中在阿拉善地区冬季大气条件下改善效果最为明显,反演结果的均方根误差(RMSE)由3.23×10-8 g/g降至3.07×10-8 g/g,平均反演精度提高了10.56%。
赵晋陵 , 胡磊 , 严豪 , 储国民 , 方艳 , 黄林生
2021, 40(3):400-412. DOI: 10.11972/j.issn.1001-9014.2021.03.017
摘要:如何利用较少训练样本达到高分类精度已成为高光谱遥感领域的重要研究方向和极具挑战性任务。针对高光谱图像包含的丰富光谱与空间信息,提出了一种联合局部二值模式LBP(Local Binary Patterns)与K-最近邻KNN(K-Nearest Neighbors)算法的高光谱图像分类方法。首先,通过主成分分析PCA(Principle Component Analysis)对高光谱数据进行降维;然后,使用LBP提取降维后的高光谱图像空间纹理信息,将光谱与空间特征变量堆叠成空—谱特征向量;最后,输入最近邻分类器得到分类结果。选取Pavia University、Indian Pines和Salinas三种公开高光谱数据集的训练集和测试集作为建模和验证数据源,选取KNN、基于径向基核函数的支持向量机(RBF-SVM)、核联合正交匹配追踪(Kernel Simultaneous Orthogonal Matching Pursuit,KSOMP)三种经典分类算法作为比较。在Pavia University与Indian Pines数据集中随机选取10%作为训练样本,总体精度和Kappa系数分别达到99.15%、98.87%和97.88%、97.58%;在Salinas数据集中随机选取2%作为训练样本,总体精度与Kappa系数为98.46%和98.29%。实验结果表明,在训练样本仅为数据集10%甚至2%的条件下,本文提出的方法仍可达到98%以上的分类精度,可满足训练样本难以获取的应用场景对高分类精度要求。
2021, 40(3):413-419. DOI: 10.11972/j.issn.1001-9014.2021.03.018
摘要:三维重建技术已在工业自动化领域得到了广泛的应用,但对于工业生产线中玻璃、锻造件等表面结构单一、高反光、无纹理的高温产品,利用传统的三维重建方法得到的三维重建结果往往不准确。这些高温物体会产生红外偏振自发辐射,提出了基于红外辐射偏振成像的目标三维重建方法。首先建立红外偏振辐射模型,分析目标表面红外辐射偏振态与目标表面法向量之间的关系,最后通过对法向量积分得到目标表面的三维形态。该方法不依赖于物体表面的纹理特征信息,对光照条件无要求且采集一次数据即可重构出目标表面的三维形态,易于实现,具有广阔的应用前景。
龚云洪 , 付皓斌 , 雍海林 , 曹原 , 任继刚 , 彭承志
2021, 40(3):420-425. DOI: 10.11972/j.issn.1001-9014.2021.03.019
摘要:星地量子通信已经验证了广域量子通信网络的可行性,面对未来量子通信网络多用户的特点,能够准确、快速预测成码率是高效利用星地量子网络资源的核心问题。提出了一种基于机器学习及恒星星像图像识别的信道预测新方法,并将此方法应用于北京地面站的观测中。实验结果表明,恒星星像的图像识别正确率可达88%,并给出是否开展星地实验的建议。在建议开展星地对接的信道情况下,预估该时段量子卫星北京地面站在仰角39.5°的筛选成码率约为8~9 kbit/s,实际星地量子通信实验的筛选成码率为8.8 kbit/s。实验结果可用于合理安排多颗卫星、多个地面站的星地对接任务,提高星地量子通信的成功率,避免浪费卫星和地面站资源,推动量子通信卫星组网的实用化研究。

主编:褚君浩
国际标准刊号:ISSN 1001-9014
国内统一刊号:CN 31-1577
国内邮发代号:4-335