
主编:褚君浩
国际标准刊号:ISSN 1001-9014
国内统一刊号:CN 31-1577
国内邮发代号:4-335
- 浏览排行
- 引用排行
- 下载排行
2021, 40(6):709-714. DOI: 10.11972/j.issn.1001-9014.2021.06.001
摘要:由于金属固有的欧姆损耗,表面等离子体波导通常具有较大的传输损耗。基于此,提出了一种全介质反槽波导结构,该波导可以同时实现亚波长模式局域性和理论上无损耗的传输,归一化模式面积可以达到3.4×10-2。另外,为了实现该小尺寸反槽波导与输入/输出光纤的高效耦合,提出了一种高效的耦合方案,耦合效率可以达到92.7%,在y和z方向上1 dB损耗的耦合偏差均约为2 μm。
郎兴凯 , 贾鹏 , 秦莉 , 陈泳屹 , 梁磊 , 雷宇鑫 , 宋悦 , 邱橙 , 王玉冰 , 宁永强 , 王立军
2021, 40(6):721-724. DOI: 10.11972/j.issn.1001-9014.2021.06.003
摘要:为了获得高功率、窄线宽和近衍射极限输出的半导体激光器,采用高阶光栅(high order Bragg gratings,HOBGs)和主控振荡功率放大器(Master Oscillator Power-Amplifier,MOPA)结构,成功研制出一种980 nm波段的HOBGs-MOPA半导体激光器。该激光器采用周期为11.37 μm的高阶光栅进行光模式选择,通过锥角为6°的锥形波导将单模激光功率放大,实现了输出功率2.8 W,3 dB光谱线宽31 pm,光束质量因子M 2为2.51的窄线宽激光输出。
2021, 40(6):725-731. DOI: 10.11972/j.issn.1001-9014.2021.06.004
摘要:采用界面失配阵列(Interfacial Misfit arrays, IMF)技术深入研究了在GaAs衬底上外延生长GaSb,研究了生长温度、Sb:Ga等效原子通量比、AlSb过渡层厚度和GaSb外延层厚度对材料结构质量的影响。其中,生长温度、AlSb过渡层厚度是影响GaSb材料结构质量的重要因素,通过高分辨率X射线衍射(HRXRD)研究,HRXRD测量材料的衍射峰半高全宽(FWHM)值对这两个参数的变化非常敏感,而Sb:Ga等效原子通量比(Effective atomic flux ratio),在富Sb条件下,材料结构质量受其变化影响有限,GaSb衍射峰FWHM值随其变化轻微,但是GaSb材料层结构质量随其厚度增加而提高。优化的条件为GaSb材料生长温度约为515 ℃, AlSb过渡层厚度为5 nm。制备10 nm厚的GaSb外延层,经HRXRD测试,其衍射峰FWHM值仅为约15 arcsec, 与商用GaSb衬底的衍射峰FWHM值相当。生长于其上的量子霍尔器件,在1.8 K及无电场偏压测量条件下,电子迁移率高达1.5×105 cm2/Vs,达到了GaSb衬底上器件性能水平。
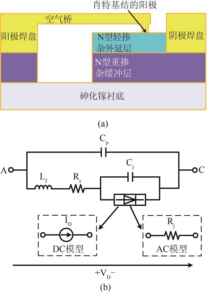
2021, 40(6):732-737. DOI: 10.11972/j.issn.1001-9014.2021.06.005
摘要:提出了一种肖特基二极管的毫米波等效电路模型参数提取方法。该方法利用开路测试结构确定焊盘电容,并结合短路测试结构确定馈线电感;基于直流I-V特性曲线和小信号S参数分别提取了寄生电阻并进行了对比分析;给出了本征元件随偏置电压的变化曲线。在频率高达40 GHz的范围内,截止和导通状态下S参数的模拟与测试数据吻合良好,验证了提取方法的有效性。
何婉婷 , 张铂 , 王斌 , 孙晓玮 , 杨明辉 , 吴晓峰
2021, 40(6):738-748. DOI: 10.11972/j.issn.1001-9014.2021.06.006
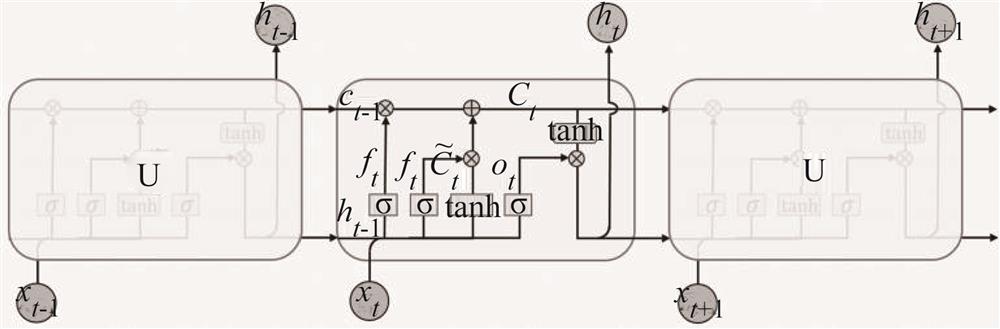
摘要:基于毫米波图像的隐匿物检测技术在无接触式人体安检中具有重要意义。目前,毫米波设备已实现三维成像,但隐匿物检测算法通常将其简单压缩为二维图像进行目标检测,未能充分利用图像深度方向的信息。针对这一问题,提出一种毫米波图像隐匿物检测框架,将三维图像视为截面序列并充分利用其截面内特征沿序列(即深度方向)的内在逻辑关系。该框架由卷积神经网络与长短时记忆网络构成,前者用于提取截面的粗细粒度特征,后者用于提取上述特征沿深度方向的全局关联性,实现特征级信息融合,从而提高隐匿物二维定位准确率。实验结果表明,与现有主流毫米波图像隐匿物检测方法相比,所提模型能大幅提高检测精度。
刘锶钰 , 张德海 , 孟进 , 纪广玉 , 朱皓天 , 侯晓翔 , 张青峰
2021, 40(6):749-753. DOI: 10.11972/j.issn.1001-9014.2021.06.007
摘要:基于国内的GaAs单片集成电路产线,研制了一款中心频率在0.825 THz的二次谐波单片混频器。针对肖特基二极管在太赫兹频段的高频效应详细分析了反向并联肖特基二极管的寄生参数以完善单片电路的设计。单片电路集成度高和装配误差小的特性更适用于太赫兹频段器件的设计。梁氏引线形式电路设计既可以降低介质基板带来的损耗,减小安装的位置偏移。实测结果表明, 0.825 THz单片混频器最佳单边带的插损值为28 dB,0.81到0.84 THz频率范围内插损小于33 dB。
2021, 40(6):754-760. DOI: 10.11972/j.issn.1001-9014.2021.06.008
摘要:基于
2021, 40(6):761-767. DOI: 10.11972/j.issn.1001-9014.2021.06.009
摘要:作者测量了常见军用涂层在Ka波段的发射率,测量对象包括:雷 达隐身涂层、雷达与高发射率红外兼容隐身涂层、雷达与低发射率红外兼容隐身涂层、高发射率红外涂层以及航空防腐涂层。测量试验采用了基于电压法的改进测量方案,该测量方法可以消除材料样品不能完全覆盖天线波束以及参考体与材料样品厚度差异导致的有效辐射面积差异引起的误差。此外,文章分析并讨论了主要的测量不确定度源。
杨晨 , 郭炜 , 李志贤 , 焦梦龙 , 张志强 , 罗积润 , 朱敏
2021, 40(6):768-777. DOI: 10.11972/j.issn.1001-9014.2021.06.010
摘要:基于开放式谐振腔及准光学模式变换理论,设计并实现了一种应用于回旋管振荡器冷测的高阶模式激励器。以140 GHz、TE28,8模工作为例,通过计算机编程控制三维移动测量平台和网络分析仪完成了相应的实验测量。当模拟仿真获得在谐振腔激起频率为140.179 GHz、Q值为855、输出场分布与TE28,8模的相关性为90.9 %时,对应设计构建模式激励器完成的冷测结果频率为140.155 GHz、Q值为876、横向电场明显具有TE28,8的特征,为回旋管振荡器研究和设计过程检验提供了一个有效的实验平台。
2021, 40(6):778-783. DOI: 10.11972/j.issn.1001-9014.2021.06.011
摘要:利用定点转移技术,制备出二维层状材料石墨烯-黑砷范德华异质结构的光电探测器制备,实现了从可见光-红外-微波的宽频段探测。其中在可见红外光辐射下,黑砷中产生的光激发电子-空穴对被分离并注入石墨烯,显著降低了半导体黑砷和金电极之间的势垒,从而实现了有效的光电流提取;在微波频段下,由于两种材料塞贝克系数差异产生光热电效应而激发非平衡载流子,零偏下形成光电流。研究结果为二维层状材料的带隙工程应用于光子和光电子领域铺平了道路。
符娟娟 , 唐金兰 , 包一麟 , 尚慧 , 吴进锦 , 王潇 , 尹建华
2021, 40(6):784-790. DOI: 10.11972/j.issn.1001-9014.2021.06.012
摘要:创新设计了一款操作灵活、方便、适于生物医学原位检测的反射式近红外(NIR)光纤探头,通过将自聚焦透镜耦合到NIR光纤探头的顶端,并对探头结构、光纤排布进行全新设计,使光纤探头具有更高的测量精度和收集效率。通过耦合傅里叶变换近红外光谱仪对蔗糖样本进行NIR光谱采集,发现该反射式NIR光纤探头具有高效便捷的特点以及较高的光谱重复性和信噪比。采用该光纤探头对犬膝关节股骨端关节软骨进行NIR光谱离体原位检测,这些光谱数据经一阶导数2次多项式21点Savitzky-Golay平滑预处理后再进行主成分分析和Fisher判别分析。模型初始案例和交互验证案例正确识别率分别为97.62%、90.47%,样本预测集的识别率达96.43%,证明了采用该NIR光纤探头进行NIR光谱原位检测的有效性及骨关节炎识别的可行性,可为骨关节炎的临床诊断奠定实验基础。
储媛媛 , 刘莹妹 , 李生娟 , 徐志成 , 陈建新 , 王兴军
2021, 40(6):791-797. DOI: 10.11972/j.issn.1001-9014.2021.06.013
摘要:通过在3~300 K的低温变温拉曼光谱的测量,对不同Sb组分的GaAsSb/InP异质结中的由Sb组分引起的声子非谐效应进行了拉曼散射的研究。实验发现,随着温度的降低,长光学声子峰位向高波数移动,当温度低于100 K时,变化趋于平缓。分别利用三声子模型和四声子模型计算模拟了光学声子和温度的依赖关系,并和实验结果对比发现,与三声子模型相比,四声子模型与实验数据符合更好,表明温度依赖的拉曼散射峰位的变化必须考虑四次声子非谐振动。相对于晶格失配的样品S1(Sb=37.9%)和S3(Sb=56.2%),获得的声子非谐度在晶格匹配的样品S2(Sb=47.7%)中是最小的,同时通过对声子线宽的研究表明S2中声子寿命是最长的。结合低温光致发光的实验结果,证实了GaAsSb合金晶格振动的声子非谐效应和声子寿命不仅受合金无序散射的影响,同时受到和衬底晶格失配引入的线缺陷和缺陷的声子散射影响。
郑付强 , 匡定波 , 胡勇 , 巩彩兰 , 黄硕 , 李澜 , 何志杰
2021, 40(6):798-808. DOI: 10.11972/j.issn.1001-9014.2021.06.014
摘要:基于风云三号卫星MERSI-Ⅱ影像的特性,提出了一种基于U-ASPP-Net的独立海冰分割算法,该算法在U-Net的基础上引入了空洞空间金字塔池化模块和空洞深度可分离卷积,构建了新型独立海冰分割网络U-ASPP-Net,并在网络后端将FDWloss作为损失函数,最后利用重叠消边策略生成最终的独立海冰分割图。为验证U-ASPP-Net的准确性与有效性,选取U-Net、Deeplab v3+和分区梯度差分与双峰阈值分割法作为对照方法进行实验,实验结果表明,基于U-ASPP-Net的独立海冰精细化分割方法在OA、Kappa系数、IOU、Dice系数四种指标上均优于其他方法,对细节与边缘的提取能力较强,对极小块海冰的还原度较高。此外,算法在一定程度上能够解决基于中分辨率遥感影像提取独立海冰时无法解决的薄云干扰问题,对薄云下的海冰依然具有良好的提取能力,能够为北极航线的动态规划提供较为准确的技术支持。
李津津 , 邱实 , 张宇 , 高彩霞 , 钱永刚 , 刘耀开
2021, 40(6):809-819. DOI: 10.11972/j.issn.1001-9014.2021.06.015
摘要:基于夜间大气层顶反射率方向性分布特性,提出了一个基于精确模拟夜间辐射传输过程的低照度遥感载荷在轨辐射定标性能评估新方法。即以南极雪地Dome C为研究区,以MT2009(Miller-Turner 2009)大气层顶月球辐照度模型和大气层顶双向反射分布函数(Bidirectional Reflectance Distribution Function, BRDF)模型模拟的夜间星上辐亮度值为基准,分析相同几何条件下,可见光近红外成像辐射计夜间光波段(Visible Infrared Imaging Radiometer Suit Day/Night Band, VIIRS DNB)观测辐亮度与基准值之间的一致性,发现在2018-2020年两者差值保持在4.97×10-10 W?cm-2?sr-1左右,比VIIRS DNB最小探测阈值3×10-9 W?cm-2?sr-1约低一个数量级,故从可接受的仪器灵敏度误差范围内,可判定VIIRS DNB载荷在美国极轨合作卫星(Suomi National Polar-orbiting Partnership, SNPP)和美国国家海洋和大气管理局(NOAA-20)上在轨辐射定标性能均非常优良。另外,基于距离校正后的SNPP VIIRS DNB和NOAA-20 VIIRS DNB辐亮度开展了VIIRS DNB载荷在轨辐射定标稳定性分析,发现相同月相角下两载荷辐亮度一致性在6%以内。
2021, 40(6):820-828. DOI: 10.11972/j.issn.1001-9014.2021.06.016
摘要:海洋一号B星水色水温扫描仪(HY-1B COCTS)在轨工作时受到冷空未知辐射的干扰导致其九年数据均受到不同程度的影响。以两极受影响较小的数据做样本,建立基于再定标系数的响应修复模型和基于概率分布的非均匀校正模型,对地球目标信号进行修复,根据修复结果进行了对比和优化,并对修复模型的精确性和稳定性进行了验证。最后结果表明,在冷空辐射基准受影响的情况下,响应修复模型结合概率分布校正模型能够明显的对数据进行有效修复。
2021, 40(6):834-839. DOI: 10.11972/j.issn.1001-9014.2021.06.018
摘要:研究了一种940 nm GaAs基VCSEL的高折射率对比度亚波长光栅反射镜(HCG),采用GaAs/AlOx光栅结构,讨论了TE偏振时光栅结构中各参数对反射光谱的作用规律,分析TE、TM不同偏振时反射镜的结构特点,及形貌误差对高反射带的影响。设计的TE-HCG的高反射带中心为940 nm,在0.888~0.985 μm波长范围内,TE波反射率大于99.5%,TM波反射率低于90%,高反射带宽97 nm,Δλ/λ0>10%。该反射镜可以与VCSEL采用一次性外延生长技术制作,且具有结构简单,制作容差大,且偏振稳定的优势,不仅有利于改善器件性能,且大大降低VCSEL的制作难度和成本。
2021, 40(6):840-846. DOI: 10.11972/j.issn.1001-9014.2021.06.019
摘要:InGaAs/InP雪崩光电二极管(avalanche photodiode APD)可实现近红外波段的单光子检测,具有集成度高功耗低等优势,被广泛应用于量子信息科学、激光测绘、深空通信等领域。通常,为了减小误计数,InGaAs/InP APD工作在门控盖革模式,其门控信号的重复频率直接决定了探测器的工作速率。基于此,采用低通滤波方案,结合集成了GHz正弦门控信号产生、雪崩信号采集、温度控制、偏置电压调节等功能的处理电路,搭建了GHz重复频率可调的高性能InGaAs/InP单光子探测器。GHz门控信号重复频率升高到2 GHz,其相位噪声仍优于-70 dBc/Hz@10 kHz,且尖峰噪声被抑制到热噪声水平,当探测效率为10%时,暗计数仅为2.4×10-6/门。此外,还验证了该方案下探测器的长时间稳定性,测试了工作速率、偏置电压等对APD关键性能参数的影响,为GHz InGaAs/InP APD的进一步集成及推广奠定基础。
唐国良 , 李春来 , 刘世界 , 徐睿 , 徐艳 , 袁立银 , 王建宇
2021, 40(6):847-857. DOI: 10.11972/j.issn.1001-9014.2021.06.020
摘要:借助于称重测量原理的噪声抑制效果,提出了一种基于
2021, 40(6):858-864. DOI: 10.11972/j.issn.1001-9014.2021.06.021
摘要:针对仅配备CPU的红外成像系统,本文提出了一种基于中心点的实时目标检测方法。遵循轻量化的设计原则,首先引入了低计算成本的特征提取网络,并在此基础上设计了相应的特征融合模块以充分利用不同阶段提取的空间和上下文信息。同时为了进一步提高网络的表征能力,提出了一个背景抑制模块以完成对前景区域的特征增强,并最终通过轻量检测网络实现对目标中心点及其相应属性的预测。在红外空中目标数据集上的实验表明,本文所提方法能够在CPU上以21.69 ms每帧的速度达到90.24%的检测精度。与经典的Tiny-YOLOv3相比,在计算量和参数量仅为前者21%和11%的前提下,检测精度提高了10.94%,并且检测速度提高了10.02 ms,证明了方法在实时红外系统中的巨大应用潜力。
杨煜 , 赵帅 , 沈远 , 孟令俊 , 王梦宇 , 张磊 , 王克逸
2021, 40(6):865-869. DOI: 10.11972/j.issn.1001-9014.2021.06.022
摘要:回音壁模式光学微腔是一种研究非线性光学现象的理想平台。在1 550 nm波段下成功实现了在CaF2晶体微腔中产生五阶级联的受激布里渊散射激光。所用的CaF2晶体微腔直径为12.6 mm,同时有着超高的品质因子,最高可以达到
2021, 40(6):870-877. DOI: 10.11972/j.issn.1001-9014.2021.06.023
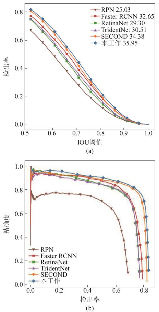
摘要:投影角度不同导致目标的形状及尺寸变化限制了基于主动式毫米波(AMMW)全息图像投影视图的隐匿物品二维检测方法对小目标检测性能的提升,为此,提出了基于点云的隐匿物品三维检测方法。通过阈值化处理将AMMW全息图像转换为点云输入经空洞卷积及多分支结构改进的SECOND三维目标检测器,提取对目标的三维几何理解及其多尺度上下文信息以提高对小目标的检测能力。实验结果表明,较基于投影的二维检测方法,该方法平均召回率(AR)提升了3.33%,有效提升了定位精度;在交并比(IOU)阈值为0.5时的检出率提升了8.75%,虚警率降低了1.78%,平均精度(AP)提升了7.11%,不同IOU阈值下的平均AP提升了4.30%,有效提升了检测精度;检测速度为17.3 FPS,达实时水平。
汪德棠 , 任志刚 , 刘莎 , 赵永强 , 方辉 , 张连东
2021, 40(6):878-885. DOI: 10.11972/j.issn.1001-9014.2021.06.024
摘要:由于红外偏振焦平面的异构特性,在非均匀校正过程中需要考虑不同检偏通道的响应差异对整体校正效果的影响,其非均匀校正问题相较同构的普通红外焦平面更为复杂。针对红外偏振焦平面的非均匀校正问题,提出了一种基于场景偏振冗余估计的非均匀校正算法,通过对场景图像和由场景图像计算得到的偏振冗余估计图像进行统计,得到整个焦平面上所有像元响应在统计特性上的差异,然后分通道从两个方向对这些差异进行比较分析,得到更新后的增益校正系数,再通过辐射重定标抑制由于静止场景所造成的鬼影,得到当前状态下相机的增益校正系数。在这个过程中,通过偏振冗余估计评价之前的校正系数,自适应地实现增益校正系数的更新。最后使用真实场景数据进行测试,结果表明本文所提出的非均匀校正算法有效提高了所获取偏振图像的准确性。

主编:褚君浩
国际标准刊号:ISSN 1001-9014
国内统一刊号:CN 31-1577
国内邮发代号:4-335