
主编:褚君浩
国际标准刊号:ISSN 1001-9014
国内统一刊号:CN 31-1577
国内邮发代号:4-335
- 浏览排行
- 引用排行
- 下载排行
2022, 41(3):517-533. DOI: 10.11972/j.issn.1001-9014.2022.03.001
摘要:钙钛矿太阳能电池(PeSCs)因其高效率、低成本和简单的制备工艺而被认为是最有前途的光伏技术之一。PeSCs的能量转换效率和稳定性很大程度上取决于钙钛矿薄膜的质量和器件中的界面,它们是PeSCs非辐射复合损失的主要来源。天然生物材料具有丰富的资源、无毒和生物相容性等优点,在改善PeSCs的钙钛矿层和界面方面显示出巨大的潜力。本文综述了利用天然生物材料实现高性能PeSCs的最新进展。首先讨论天然生物材料在钙钛矿薄膜的形貌优化、缺陷钝化和能级调控方面的作用;同时,讨论利用天然生物材料优化钙钛矿和电荷传输层之间的界面,以及构建可拉伸、可生物相容和可生物降解的电极的策略;最后,展望PeSCs在天然生物材料方面的进一步发展。
李立华 , 熊伯俊 , 杨超伟 , 李雄军 , 万志远 , 赵鹏 , 刘湘云
2022, 41(3):534-539. DOI: 10.11972/j.issn.1001-9014.2022.03.002
摘要:As注入掺杂的p-on-n结构器件具有暗电流小、R0A值高、少子寿命长等优点,是长波、甚长波碲镉汞红外焦平面器件发展的重要趋势。介绍了由昆明物理研究所研究制备的77 K温度下截止波长为9.5 μm、10.1 μm和71 K下14.97 μm 的p-on-n长波、甚长波碲镉汞红外焦平面器件,对器件的响应率、NETD、暗电流及R0A等性能参数进行测试分析。测试结果表明,器件的有效像元率在99.78%~99.9%之间,器件的NETD均小于21 mK。实现了p-on-n长波、甚长波碲镉汞红外焦平面器件的有效制备。
李雪 , 邰含旭 , 王玉龙 , 郑明 , 张建伟 , 张星 , 宁永强 , 吴坚 , 王立军
2022, 41(3):540-544. DOI: 10.11972/j.issn.1001-9014.2022.03.003
摘要:提出了一种采用增益芯片和光栅外腔的双波长可调谐半导体激光器。增益芯片采用了富铟团簇量子限制结构作为其量子限制结构,由于该结构独特的平顶增益特性,可以使激光器在双波长调谐范围内实现光强稳定。本研究中的谐振腔包括内部谐振腔和外部谐振腔,其中内部谐振腔由增益芯片的两个自然解理面构成,以支撑整个系统工作在特定波长。外部谐振腔由增益芯片的一个自然解理面和光栅构成,可实现969.1~977.9 nm的工作波长范围。最终该系统基于单个增益芯片和单个光栅实现了同步双波长输出,双波长的频率差在THz范围。本研究有望为实现双波长差频太赫兹源提供一种可能的解决方案。
何英杰 , 彭震宇 , 曹先存 , 朱旭波 , 李墨 , 陶飞 , 丁嘉欣 , 姚官生 , 张利学 , 王雯 , 吕衍秋
2022, 41(3):545-550. DOI: 10.11972/j.issn.1001-9014.2022.03.004
摘要:超晶格材料已经成为了第三代红外焦平面探测器的优选材料。双波段红外探测器能够通过对比两个波段内的光谱信息差异,对复杂的背景进行抑制,提高探测效果,在需求中尤为重要。本文开展了InAs/InAsSb超晶格中/中双色焦平面探测器设计及制备技术研究,从器件设计、材料外延、芯片加工等方面展开研究,制备了中心距30 μm的320×256 InAs/InAsSb二类超晶格中/中波双色焦平面探测器。器件短中波峰值探测率达到7.2×1011 cm·Hz1/2W-1,中波峰值探测率为6.7×1011 cm·Hz1/2W-1,短中波有效像元率为99.51%,中波为99.13%,获得了高质量的成像效果,实现中中双色探测。
2022, 41(3):557-562. DOI: 10.11972/j.issn.1001-9014.2022.03.006
摘要:针对170 GHz回旋管研究,设计了一种高效Denisov准光模式变换器,该回旋管工作在
惠战强 , 杨雪 , 韩冬冬 , 李田甜 , 赵峰 , 杨祎 , 陈素果
2022, 41(3):563-572. DOI: 10.11972/j.issn.1001-9014.2022.03.007
摘要:本文提出了一种以环烯烃共聚物(Cyclic Olefin Copolymer, COC)为基底的超低损耗高双折射空芯反谐振太赫兹光子晶体光纤,该光纤的包层由两组(共六个)无节点嵌套管组成。采用时域有限差分法(Finite Difference Time Domain method, FDTD)结合完美匹配层(Perfectly Matched Layer, PML)边界条件对其导波特性进行分析。仿真结果表明,在0.8~1.35 THz范围内,总传输损耗小于0.1 dB/m,双折射大于2.12×10-5,色散为±0.027 ps/THz/cm。在1.12 THz处,最低总传输损耗仅为0.543×10-2 dB/m,双折射值为2.06×10-4。同时,分析了该光纤的弯曲性能,表明在y方向,当弯曲半径超过19 cm时,弯曲损耗小于0.1 dB/m,具有良好的弯曲性能。
2022, 41(3):573-580. DOI: 10.11972/j.issn.1001-9014.2022.03.008
摘要:文章提出了一种宽带注入锁定三倍频器。在传统注入方式基础上,倍频器采用了推-推差分对输入信号进行二倍频,并将产生的二次谐波通过变压器耦合至注入管的源极共模点,增强了注入管源极共模点二次谐波。由于注入电流是由注入信号与源极共模点二次谐波进行混频而产生,因此注入电流也被增强,从而增大了锁定范围。除此之外,三倍频采用了四阶谐振器,谐振阻抗的相位在过零点被平坦化,锁定范围进一步被增大。采用标准CMOS 65 nm工艺设计三倍频,芯片面积为720×670 μm2,1.2-V供电时的功耗为15.2 mW。0 dBm注入功率下三倍频的锁定范围为19.2~27.6 GHz,对应的基波抑制比大于25 dB,二次谐波抑制大于35 dB。注入锁定三倍频器可满足5G收发机中本振源的要求。
马佳路 , 唐靖超 , 王凯程 , 郭良浩 , 王少萌 , 宫玉彬
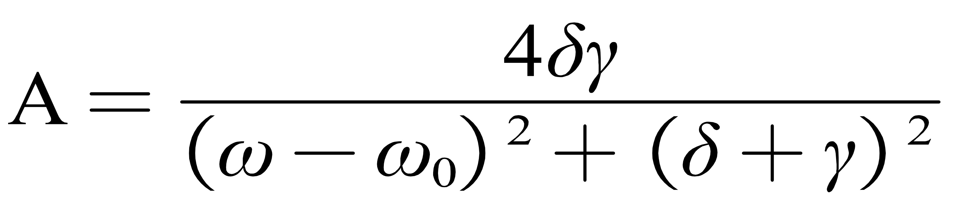
2022, 41(3):581-588. DOI: 10.11972/j.issn.1001-9014.2022.03.009
摘要:论文提出了一种用于食品工业中常用添加剂(肌醇、亮氨酸、牛磺酸)高灵敏度区分的太赫兹超材料传感器。该传感器由带有双尖端的开口谐振环(Split Ring Resonator, SRR)阵列组成。液体样品的不同浓度和种类对应于传感器不同的频率偏移,可以被用于液体样品浓度和种类的区分和辨别。该超材料传感器使用微纳工艺制作在对太赫兹波透明的石英基板上。利用太赫兹时域光谱仪(THz-TDS)系统分别测量了浓度为0.2、0.4、1.5、2、3和4 mg/ml的液体样品。结果表明,所提出的超材料传感器能检测的最低样品浓度为0.2 mg/ml。同时,该传感器也可以实现相同浓度,不同种类液体样品的辨别。该研究为基于开口谐振环结构的太赫兹超材料传感器在食品安全领域的应用提供了新的参考。
王洁 , 谭冰冲 , 陶星竹 , 徐成城 , 常天英 , 崔洪亮 , 张瑾
2022, 41(3):589-596. DOI: 10.11972/j.issn.1001-9014.2022.03.010
摘要:提出将希尔伯特变换和功率谱估计相结合的光谱分析算法,对太赫兹反射时域波形进行处理,并将该算法应用于太赫兹时域光谱成像,将缺陷厚度和图像灰度关联,实现同时对玻璃纤维层压板内部缺陷厚度、位置和形状的成像检测。实验结果表明:将多重信号分类谱估计、自回归谱估计和希尔伯特变换结合时,能成功区分厚度为0.08 mm缺陷上下表面反射脉冲,反射脉冲的时间分辨率小于0.5 ps,缺陷厚度的检测误差不高于0.03 mm。
杨天杭 , 顾明剑 , 邵春沅 , 吴春强 , 漆成莉 , 胡秀清
2022, 41(3):597-607. DOI: 10.11972/j.issn.1001-9014.2022.03.011
摘要:红外高光谱大气探测仪II型(HIRAS-II)是一台傅里叶变换光谱仪,搭载于世界首颗民用晨昏轨道气象卫星FY-3E上,其研制过程在FY-3D/HIRAS-I产品基础上,重点提升了探测器灵敏度、光谱和辐射定标精度等方面。仪器发射前进行了全面的热真空定标试验,其中非线性订正作为辐射定标过程的重要环节,对辐射定标精度具有重要影响。针对HIRAS-II长波和中波1红外探测器产生的非线性效应,通过缩放带内光谱对原始数据作非线性订正,采用最小化不同温度点复原光谱各波数点的响应度分布和最小化变温黑体定标偏差分布两种方法推导非线性系数。对比辐射定标数据作非线性订正前后的光谱亮温偏差,结果表明,经过非线性订正后的辐射定标精度得到了明显提升。
李秀举 , 王保勇 , 吴亚鹏 , 韩昌佩 , 曹琦 , 周树添 , 王伟成 , 李盼盼
2022, 41(3):608-617. DOI: 10.11972/j.issn.1001-9014.2022.03.012
摘要:多通道扫描成像辐射计(Advanced Geostationary Radiation Imager, AGRI)是风云四号A星的主要有效载荷之一。为了满足AGRI长波红外遥感数据高精度定量化应用的要求,构建了扫描镜热辐射随机械转角变化的函数模型,提出了一种可用于星上黑体和地球场景观测遥感数据的校正算法。基于FY-4A星AGRI的在轨数据,分析了模型参数对扫描镜温度的依赖性,研究评估了校正算法对长波红外定标精度的改善效果。在扫描镜温度场平稳时间段内,扫描镜热辐射校正后,B11(8.0~9.0 μm)、B12(10.3~11.3 μm)、B13(11.5~12.5 μm)波段的定标偏差分别可以得到-2.81 K~+1.06 K、-0.60 K~+0.19 K、-0.68 K~+0.24 K的显著改善。与IASI交叉定标检验结果表明,改善后的在轨定标亮度温度偏差优于0.5 K@290 K。
2022, 41(3):618-625. DOI: 10.11972/j.issn.1001-9014.2022.03.013
摘要:合成孔径雷达(SAR)具有不受云层干扰、可全天时、全天候对地观测的特点,基于SAR图像的舰船检测已广泛用于海洋搜救、港口侦察、领海防御等民用或军用领域。然而,与大型舰船相比,像素点少、对比度低的小型舰船存在漏检率高的问题,并且速度和精度之间的平衡成为舰船检测算法天基应用的难点。针对以上问题,本文提出了一种基于YOLOv5s模型改进的舰船检测轻量化模型(ImShips)。首先,针对船体大小差异导致的漏检问题,采取在网络底部使用感受野较小的标准卷积,提升了模型对小规模舰船空间信息的获取能力。同时,在网络顶部设计了放大感受野的扩张卷积,保留了更多的语义特征,有利于大目标的特征提取。接着,提出将轻量级的通道注意力机制应用于YOLOv5的骨干网络和特征融合网络,通过对提取到的特征按重要性分配权重,实现纹理信息的筛选。最后,在下采样时采取深度可分离卷积代替标准卷积,减少了模型参数的数量,进一步提高了模型的推理速度。实验结果表明,在SAR舰船检测SSDD和ISSID数据集中,改进后的ImShips模型在保证精度的同时,所需的浮点计算数比YOLOv5s模型减少了45.61%,检测速度提高了8.31%。ImShips模型网络规模小、检测速度快,在实时天基舰船检测中具有较大的应用潜力。
郭宏杰 , 刘海锋 , 王振诺 , 谭满清 , 李智勇 , 雷明 , 郭文涛
2022, 41(3):626-630. DOI: 10.11972/j.issn.1001-9014.2022.03.014
摘要:近年来,基于薄膜铌酸锂(TFLN)平台的高性能电光调制器以其小体积、低能量损耗等特点受到广泛关注。本文提出了一种新的具有垂直电极结构的Y波导铌酸锂薄膜电光调制器。研究了调制器的半波电压与缓冲层厚度之间的关系,优化了Y波导的设计参数,最后设计得到插入损耗<5 dB, 半波电压<1.5 V的高性能调制器。本文不仅为基于TFLN平台的小型化波导的设计和实现提供了思路,而且为制造高性能和多功能的电光调制器提供了实验依据。
2022, 41(3):631-638. DOI: 10.11972/j.issn.1001-9014.2022.03.015
摘要:为了实现空间光通信中高精度的链路,本文重点研究了影响面阵探测器对于目标定位精度的关键因素。首先从机理上分析了质心算法的误差,并仿真验证了满足空间无损采样条件的必要性。我们定义了NU值并以此为指标来量化探测器的非均匀性,随着NU自0开始线性增长,质心的定位误差持续增长但是速度放缓。当NU值为0.005时,最大定位误差为0.043 像素。在目标入射到光学系统的光强不断改变的条件下,NU值越小,质心位置越接近光斑的真实位置。我们通过实验测试了某种典型的CMOS探测器在不同光照强度下的像元响应,建立了像元响应非均匀性的数理模型,计算出NU值于线性响应范围内在0.0045到0.0048范围内波动。光斑质心定位精度的实验结果表明,绝对定位误差小于0.05 像素,可以满足高精度链路的需求,验证了理论和仿真的有效性。
裘莉娅 , 陈玮琳 , 李范鸣 , 刘士建 , 李争 , 谭畅
2022, 41(3):639-651. DOI: 10.11972/j.issn.1001-9014.2022.03.016
摘要:在雨雪天气、树叶晃动、水面闪烁等有复杂背景的可见光与红外场景中,快速准确地提取完整目标一直是运动目标检测中的首要难题。为了满足实时性,并针对现有视频的前景提取算法依赖先验信息、召回率低、缺乏纹理和噪声较大等问题,提出了一种基于直方图统计和改进的局部二值模式(Local Binary Pattern, LBP)纹理特征相结合的背景建模方法。首先,使用各像素直方图的众数作为参考背景,无需先验知识,节省了大量存储空间,再采用邻域补偿策略提出了一种改进的S_MBLBP纹理直方图与参考背景进行背景建模,消除了大部分动态背景和光照变化影响,实现目标的精确提取。实验表明,所提的算法在红外和可见光的多种复杂场景下,能快速提取前景目标的同时,提高了准确率和召回率。
2022, 41(3):652-658. DOI: 10.11972/j.issn.1001-9014.2022.03.017
摘要:黑磷支持各向异性的表面等离激元,可用于设计具备更多功能的原理性器件。用时域有限差分法数值模拟了中红外到远红外波段基于黑磷的层-盘-层系统中不同等离激元模式之间的杂交行为。通过动态调节黑磷中的载流子浓度,可以实现两个晶格方向上强耦合现象的产生与控制。对不同模式间的耦合进行分析并计算,得到吸收光谱中的拉比分裂能最高可达42.9 meV。此外,还计算了偏振角度对各向异性强耦合的影响,其最高可以实现6个吸收频带。该模型可为构建未来在中远红外波段工作的基于二维材料紧凑型各向异性等离激元器件提供基础。

主编:褚君浩
国际标准刊号:ISSN 1001-9014
国内统一刊号:CN 31-1577
国内邮发代号:4-335