
主编:褚君浩
国际标准刊号:ISSN 1001-9014
国内统一刊号:CN 31-1577
国内邮发代号:4-335
- 浏览排行
- 引用排行
- 下载排行
霍勤 , 张诚 , 焦翠灵 , 王仍 , 毛诚铭 , 陆液 , 乔辉 , 李向阳
2023, 42(1):1-7. DOI: 10.11972/j.issn.1001-9014.2023.01.001
摘要:研究了碲锌镉衬底(111)晶面的不同极性对水平推舟液相外延生长碲镉汞薄膜的影响。实验结果显示,(111)A面碲锌镉衬底水平液相外延生长碲镉汞薄膜材料组分和厚度均与常规(111)B面碲锌镉衬底碲镉汞薄膜材料相当;碲镉汞母液在采用(111)A面、(111)B面衬底进行液相外延生长的碲镉汞薄膜上接触角分别为(50±2)°和(30±2)°,结合微观模型分析确认碲镉汞母液在碲镉汞薄膜(111)A面存在更大的表面张力;观察并讨论了(111)A面碲镉汞与(111)B面碲镉汞薄膜材料表面微观形貌的差别;实验获得的(111)A面碲镉汞薄膜XRD半峰宽为33.1 arcsec。首次报道了(111)晶面选择对母液残留的影响,研究结果表明,采用(111)A面碲锌镉衬底进行碲镉汞水平推舟液相外延生长,能够在不降低晶体质量的情况下,大幅减小薄膜表面母液残留。
崔玉容 , 周易 , 黄敏 , 王芳芳 , 徐志成 , 许佳佳 , 陈建新 , 何力
2023, 42(1):8-13. DOI: 10.11972/j.issn.1001-9014.2023.01.002
摘要:开展了InAs / GaSb II类超晶格长波红外探测器的表面处理研究。通过对不同处理工艺形成台面器件的暗电流分析,发现N2O等离子处理结合快速热退火(RTA)的优化工艺能够显著改善长波器件电学性能。对于50%截止波长12.3 μm的长波器件,在液氮温度,-0.05 V偏置下,表面处理后暗电流密度从5.88 ×10-1 A/cm2降低至4.09 ×10-2 A/cm2,零偏下表面电阻率从17.7 Ωcm提高至284.4 Ωcm,有效降低侧壁漏电流。但是该表面处理后的器件在大反偏压下仍有较大的侧壁漏电,这可能是由于高浓度的表面电荷使得大反偏下侧壁存在较高的隧穿电流。通过栅控结构器件的变栅压实验,验证了长波器件存在纯并联电阻及表面隧穿两种主要漏电机制。最后,对表面处理前后的暗电流进行拟合,处理后器件表面电荷浓度为3.72×1011 cm-2。
李雪 , 张继业 , 张建伟 , 张星 , 张卓 , 曾玉刚 , 张俊 , 周寅利 , 朱洪波 , 宁永强 , 秦莉 , 王立军
2023, 42(1):14-20. DOI: 10.11972/j.issn.1001-9014.2023.01.003
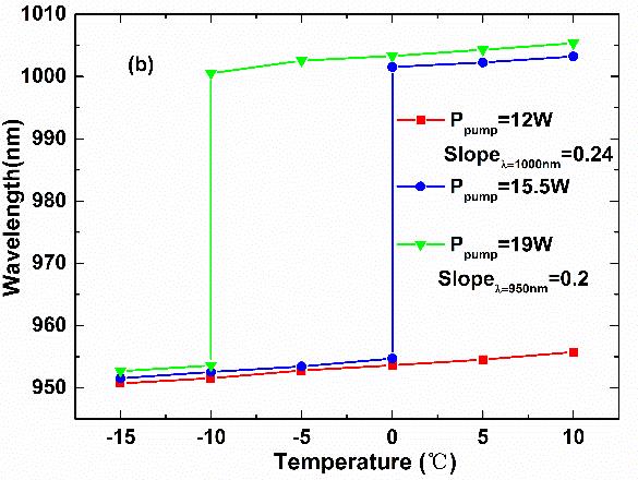
摘要:报道了一种结构紧凑的垂直外腔面发射激光器(Vertical-External-Cavity Surface- Emitting Laser,VECSEL)及其双波长调控。通过调控泵浦光功率,实现了VECSEL输出的两个激光波长之间的相互转换,双波长的间隔接近50 nm。VECSEL的输出功率曲线呈现明显的两次翻转,翻转点对应了激射波长的转换。这是由于泵浦功率变化改变了增益芯片内部的温度,进而通过热调谐使得发光区增益峰值被调谐到腔模的不同位置。在0 ℃时,每个激射波长的最大输出功率都在1.5 W以上。随着泵浦功率的改变,激射波长可以在950 nm和1000 nm之间切换,同时还可以在1.5 W以上的功率水平下实现双波长同时激射。这种可切换波长及双波长同时激射的VECSEL器件在光调制、差频等领域有较大应用潜力。
杜维川 , 何林安 , 李弋 , 贺钰雯 , 谢鹏飞 , 周坤 , 张亮 , 刘晟哲 , 高松信 , 唐淳
2023, 42(1):21-25. DOI: 10.11972/j.issn.1001-9014.2023.01.004
摘要:为研制近衍射极限的高功率半导体激光器,采用了片上光栅、窄脊型波导、锥形放大器一体集成的主控放大(Master Oscillator Power-Amplifier, MOPA)技术路线,以长度为8 mm、脊型宽度为3 μm的波导为单模种子源,配合长度为7 mm、全角为3.3°的锥形放大器,实现了功率10.3 W、慢轴光束质量M2(1/e2)因子=1.06,3 dB线宽40 pm,工作电光效率50.5%的半导体激光输出,并采用片上电致加热光栅调谐技术,实现了中心波长在4 nm范围内连续可调。
吕志方 , 张长青 , 王战亮 , 江胜坤 , 阮存军 , 冯进军 , 宫玉彬 , 段兆云
2023, 42(1):26-36. DOI: 10.11972/j.issn.1001-9014.2023.01.005
摘要:带状注是指束流截面近似为矩形或椭圆形的电子注,且具有大的宽高比。相对于传统的圆形注,带状注具有很多优点,例如大电流和大互作用面积等。由于太赫兹波具有高频率、宽频带、高传输速率等优点,因此太赫兹科学与技术近年来发展迅速。作为一种新型的真空电子器件,太赫兹带状注器件在高功率、高增益、高效率及小型化方面具有良好的技术优势。但是,带状注在传输过程中易出现Diocotron不稳定性,难以保持长距离稳定的聚焦传输,从而导致带状注的技术优势难以发挥。本文综述了带状注的产生成形方式和聚焦传输方法,以及太赫兹带状注器件的研究进展,同时讨论了它所面临的挑战和未来的发展方向。
2023, 42(1):37-42. DOI: 10.11972/j.issn.1001-9014.2023.01.006
摘要:基于70 nm InP HEMT工艺,设计了一款五级共源放大级联结构230~250 GHz低噪声太赫兹单片集成电路(TMIC)。该放大器采用扇形线和微带线构成栅极和源极直流偏置网络,用以隔离射频信号和直流偏置信号;基于噪声匹配技术设计了放大器的第一级和第二级,基于功率匹配技术设计了中间两级,最后一级重点完成输出匹配。在片测试结果表明,230~250 GHz频率范围内,低噪声放大器的小信号增益大于20 dB。采用Y因子法对封装后的低噪声放大器模块完成了噪声测试,频率为243~248 GHz时该MMIC放大器噪声系数优于7.5 dB,与HBT和CMOS工艺相比,基于HEMT工艺的低噪声放大器具有3 dB以上的噪声系数优势。
2023, 42(1):43-49. DOI: 10.11972/j.issn.1001-9014.2023.01.007
摘要:针对U型曲折线慢波结构带状注行波管杂模抑制和互作用效率提高等面临的挑战,提出了一种开口菱形超材料结构。在综合考虑电路单元谐振性能、与U型曲折线慢波结构之间的协调配合以及电路实现可行性和结构简单等因素,通过电路设计和数值模拟优化等具体措施相结合,探讨这种超材料对增强注波互作用表面电场和抑制电路振荡的效果。在Ka波段优化的结果表明,这种超材料在抑制杂波和改善注波互作用效率方面效果明显,对此类行波管稳定性提高具有重要意义。
刘世界 , 张星宇 , 周浩 , 李春来 , 李东景 , 亓洪兴 , 王建宇
2023, 42(1):50-60. DOI: 10.11972/j.issn.1001-9014.2023.01.008
摘要:视频光谱成像技术是目前遥感探测发展的一个重要方向,可以实现4维信息获取(两维空间+光谱+时间),对于动态目标探测等应用场景有十分重要的意义。目前的技术手段是以滤光片方式为主,不具备光栅作为分光元件时的高光谱分辨率优势。基于此,提出了非耦合狭缝阵列扫描光谱成像(uSASHI)和编码狭缝阵列扫描光谱成像(cSASHI)系统,通过增加狭缝数目的方式,实现同一时刻多个视场信息的获取,极大地提升信息获取效率。uSASHI的每个狭缝获取信息之间不会耦合,n条狭缝可以实现n倍的信息获取效率的提升,cSASHI的狭缝按照压缩感知理论排列,可以实现欠采样条件下(采样率α≤1)视频光谱成像,信息获取效率可以提升n/α倍。本文设计的系统最终实现了1024*496*30的光谱数据立方体10 Hz视频光谱成像方式,cSASH实现了更高帧频。所提系统为视频光谱成像技术提供了新的方向,为未来动态目标探测等应用打下了基础。
李虎 , 刘雪峰 , 姚旭日 , 刘璠 , 窦申成 , 胡钛 , 翟光杰
2023, 42(1):61-71. DOI: 10.11972/j.issn.1001-9014.2023.01.009
摘要:中长波红外成像探测器成本高昂,成为该波段高分辨成像和实时显示的巨大挑战。本文提出一种高效合并分块压缩感知方法(Multi-block Combined Compressed Sensing, MBCS),适用于基于焦平面阵列的压缩成像系统,它结合了并行采样和快速重建优势,可通过低分辨红外探测器实现低分辨并行测量和高分辨图像快速重建。与传统的基于压缩感知超分辨成像相比,该方法可提升高分辨图像重建的质量,同时实现高速重建。本文对光学系统原型和MBCS重建模型测量矩阵构建过程进行了研究,讨论了合并块大小对重建性能的影响,发现存在最优块大小使重建速度与重建质量都最优。此外,本文还实现了基于GPU加速的MBCS重建算法,用于进一步改进并行成像系统的图像重建速度。仿真和光学实验验证了该光学系统并行采样和快速重建策略的有效性,512×512分辨率成像与显示速度可达到5 Hz。
张振清 , 董丽娟 , 邓富胜 , 李云辉 , 许静平 , 孙勇 , 陈鸿
2023, 42(1):72-77. DOI: 10.11972/j.issn.1001-9014.2023.01.010
摘要:对于传统的Fabry-Perot腔激光器,光子在增益介质中沿任意方向传播。在腔内,只有沿着腔的轴线来回震荡的光子,达到一定的阈值后可以产生激射效应。然而,对于入射方向偏离反射镜腔壁的光子将从腔中耗散出去,从而使得激射效率较低。为了解决上述激光器所面临的缺陷,利用等效折射率为负1的负折射材料和零折射率材料组成一个双层结构作为Fabry-Pérot腔壁。对于此腔,以不同路径入射于腔壁的光子,都可以重新汇聚到原子所在的位置。经过多次正反馈,最终以垂直于腔壁的方向辐射出去,避免了光子在偏离激射方向上的耗散。此外,该腔的聚焦效应与准直效应与原子位置无关。随后,通过二维光子晶体分别实现了由0与-1等效折射率光子晶体组成的反射壁,当在腔中引入增益材料时,可以观察到明显的激射行为。与单个零折射率材料构成的腔相比,该腔的阈值更低,发射强度更大,从而提高了激射的效率。
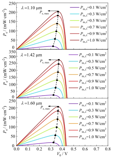
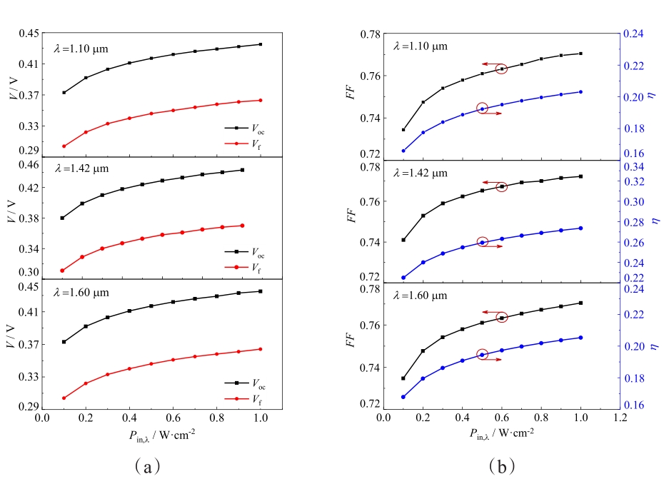
2023, 42(1):78-87. DOI: 10.11972/j.issn.1001-9014.2023.01.011
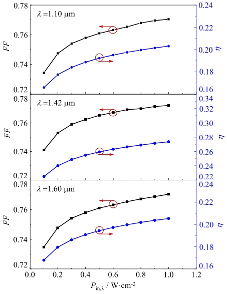
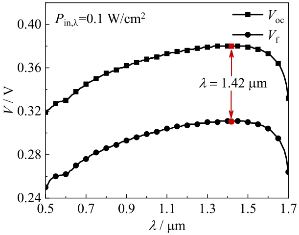
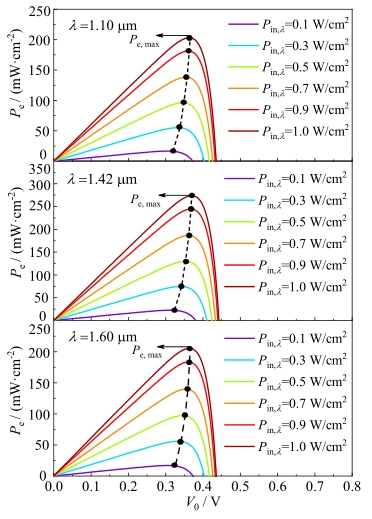
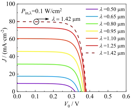
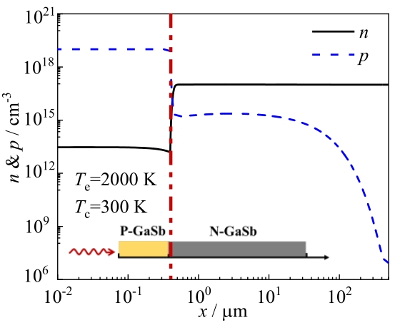
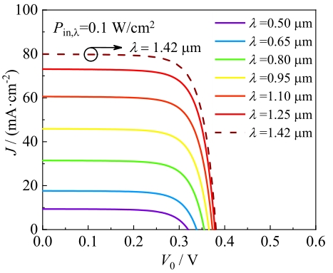
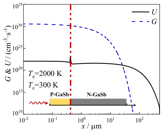
摘要:热光伏发电技术具有高效率、高功率密度、适应热源广泛等特征,揭示其核心部件—电池芯片内部光电能量转换物理机制及影响规律,有利于系统性能的进一步提升。针对GaSb热光伏电池内部的光-电转换过程,建立了微观载流子输运模型,采用光-电耦合仿真方法对其性能参数进行了数值模拟。重点探究了入射辐射光谱特性及功率密度对电池性能的影响。结果表明:当入射光谱辐射功率相同时,电池转换效率随光谱变化呈现明显的非单调性,在波长1.42 μm处达到峰值22.50%。同一光谱下,随着辐射功率密度提高,电池最大输出电功率密度等比例增大,转换效率也随之增大但增幅逐渐减小,波长1.42 μm时增幅最大约4.85%。
2023, 42(1):88-101. DOI: 10.11972/j.issn.1001-9014.2023.01.012
摘要:光电倍增管(Photomultiplier Tubes,PMT)具有光子级别的灵敏度,而且没有物理意义上的死区时间,在光子计数雷达应用中有独有的优势,但PMT响应单光子输出脉冲高度呈高斯随机分布,且不同脉冲之间还有可能产生堆叠,传统的单光子模型不能准确描述PMT的光子探测过程。针对PMT输出脉冲高度随机分布,脉冲堆叠现象和光子事件鉴别阈值的设置对光子事件探测概率的影响提出了一个新的PMT光子探测模型,并根据实际应用场景进行了简化,通过蒙特卡洛仿真验证了简化模型的适用性。搭建了光子计数雷达系统,通过和盖革模式APD进行实验对比,发现PMT光子探测模型虽然有略微的探测概率损失,但在测距应用中具有更小行走误差和更高测距精确度。实验也证明了新模型相比于传统单光子探测模型更符合PMT的光子事件探测概率分布,新模型对基于PMT光子计数雷达的系统设计和理论分析具有重要的指导意义。
2023, 42(1):102-110. DOI: 10.11972/j.issn.1001-9014.2023.01.013
摘要:分焦平面红外偏振探测器输出的是红外偏振马赛克图像,传统处理流程需要进行去马赛克恢复出四个偏振通道的完整图像,然后再实现后续的任务。然而,去马赛克过程会引入误差,而且计算复杂度高、耗时长。针对如何直接在红外偏振马赛克图像上进行目标检测的问题,本文提出了一种偏振权重局部对比度的目标检测方法。首先分析了目标与背景的偏振特性差异;然后设计了红外偏振马赛克图像的斯托克斯矢量计算卷积核;在此基础上提出了基于偏振权重的偏振度显著图,在偏振度显著图上利用自适应阈值操作实现目标检测。此外,利用边缘检测方法进一步优化目标检测结果,得到更加完整的检测结果。最后,使用采集的红外偏振马赛克数据集验证了所提出的目标检测算法在复杂背景以及恶劣天气影响下的鲁棒性。
姬忠鹏 , 桂裕华 , 李津宁 , 谭永健 , 杨秋杰 , 王建宇 , 何志平
2023, 42(1):111-121. DOI: 10.11972/j.issn.1001-9014.2023.01.014
摘要:基于声光可调谐滤波器(AOTF)的光谱仪器已经在生物医学、农业、航空航天等领域中广泛应用。然而,传统的AOTF光谱仪很难在保持光谱分辨率和减少采样次数的同时,还实现系统光通量的增加。针对上述问题,本文提出了一种基于压缩感知理论的AOTF光谱测量方法,利用AOTF可多频驱动的特点,在光谱维度上实现稀疏随机编码复合光信号调制,可利用单元或面阵探测器顺次记录完成压缩采样,再通过压缩感知重建算法获得目标光谱曲线或光谱图像数据立方体。为了验证本方法的有效性,我们利用实际测量得到AOTF光谱响应带宽数据,构建传感矩阵,以展宽光谱为恢复目标,仿真了压缩采样和目标数据重构效果。仿真结果表明,该方法可以通过202次压缩采样,重构得到512个波长点的光谱数据,光谱数据采样率和压缩比为0.39。此采样率下,本方法可以高精度恢复光谱曲线,PSNR指标达到41.75dB,SAM和GSAM指标为0.9998和0.9754。多频同时驱动下,系统光通量平均提升了5倍。与传统逐波长点扫描的采样方式相比,该方法能够在保持原有光谱分辨率的前提下减少总采样次数,提高系统的光通量,同时还压缩了光谱数据,在微弱信号检测、物质快速识别以及光谱数据传输和存储等领域具有十分重要的意义。
2023, 42(1):122-131. DOI: 10.11972/j.issn.1001-9014.2023.01.015
摘要:非制冷红外成像技术具有非常广泛的应用前景。但是,目前非制冷红外成像芯片存在非均匀校正、图像细节增强和条纹噪声等亟待解决的问题。论文提出并设计一种面向非制冷红外成像的图像处理专用SoC芯片,芯片集成了一个CPU、两个DSP处理器和一个红外图像处理专用加速器,单芯片可实现非制冷低功耗红外图像的非均匀校正、图像滤波、直方图均衡、数字图像细节增强、条纹消除和目标检测跟踪等实时图像处理。同时,研究开发了面向芯片应用的非制冷低功耗红外图像处理算法。采用65-nm CMOS工艺实现了非制冷红外图像专用处理SoC芯片,实现了基于非制冷红外成像芯片和图像处理SoC芯片的小型低功耗非制冷红外成像系统。测试结果表明成像系统可以实现清晰的非制冷红外成像、目标检测及目标跟踪等功能,系统功耗小于2 W,体积相比传统的系统减小了50%,满足对体积、功耗、性能要求比较高的系统的应用需求,具有较高的工程应用价值和前景。
2023, 42(1):132-141. DOI: 10.11972/j.issn.1001-9014.2023.01.016
摘要:提出了一种基于模式演变原理的紧凑型偏振分束旋转器(Polarization Splitter Rotator,PSR)。该器件由锥型TM0-TE1模式转换器与非对称定向耦合(Asymmetric Directional Coupler,ADC)结构的模式分束器组成,经粒子群算法(Particle Swarm Optimization,PSO)和样条插值原理优化后的器件总长度仅为45 μm。利用时域有限差分法(Finite Difference Time Domain method,FDTD)对器件进行仿真,数值结果表明:输入TE0模式时,在100 nm(1500~1600 nm)带宽内具有低插入损耗(<0.007 dB)、低串扰(<-28.7 dB)、高偏振消光比(>49.1 dB);输入TM0模式时,在整个C波段内具有低插入损耗(<0.34 dB),低串扰(<-47.1 dB),高偏振消光比(>15.5 dB),且在中心波长1550 nm处插入损耗值仅为0.06 dB。此外,对器件的公差进行了分析,结果表明该器件具有良好的鲁棒性。所设计的PSR具备低损耗、小尺寸以及低串扰特性,在未来大规模光子集成领域具有重要应用价值。

主编:褚君浩
国际标准刊号:ISSN 1001-9014
国内统一刊号:CN 31-1577
国内邮发代号:4-335