
主编:褚君浩
国际标准刊号:ISSN 1001-9014
国内统一刊号:CN 31-1577
国内邮发代号:4-335
- 浏览排行
- 引用排行
- 下载排行
李向阳 , 桑茂盛 , 徐国庆 , 乔辉 , 储开慧 , 杨晓阳 , 杨鹏翎 , 王大辉
2023, 42(2):143-148. DOI: 10.11972/j.issn.1001-9014.2023.02.001
摘要:针对室温工作的光伏型碲镉汞中波红外探测器激光辐照饱和特性进行了仿真,结果表明,中红外激光对碲镉汞材料的加热效应以及光照导致零偏压阻抗降低,是影响探测器输出量子效率的重要因素。利用一维数值仿真方法,建立了室温碲镉汞pn结的模型,计算了稳态激光辐照下器件量子效率以及零偏压阻抗。理论计算了激光辐照下的稳态温度分布近似模型,并将温度场分布耦合到仿真计算中,发现衬底厚度会影响芯片的温升,从而显著影响器件饱和阈值的大小。另外,计算表明,随着光照强度的增加,器件的零偏压阻抗降低,并将仿真结果与实测芯片参数进行了比较。计算分析为设计高饱和辐照度阈值的中波红外碲镉汞探测器提供了参考。
刘艳珍 , 李树杰 , 张应旭 , 辛永刚 , 李志华 , 林阳 , 李雄军 , 秦强 , 蒋俊 , 郭建华
2023, 42(2):149-155. DOI: 10.11972/j.issn.1001-9014.2023.02.002
摘要:表面处理是碲镉汞(HgCdTe)红外探测器芯片制作流程的开始,其效果会直接影响芯片的良品率。采用金相显微镜、扫描电子显微镜(SEM)和X射线光电子能谱(XPS)分析手段,探究了碲镉汞表面处理工艺中四种典型的表面异常现象的成因,并提出了相应的控制措施。水痕缺陷的形成机理为吸氧腐蚀,通过稳定氮气气流快速将晶片表面吹干可以控制该缺陷的形成;染色现象的成因为腐蚀液被不均匀稀释或腐蚀液被水等杂质污染,工艺中应严格避免杂质的污染,腐蚀结束后快速冲洗表面;圆斑现象是由于缺陷处吸附清洗液引起,采用异丙醇浸泡后再干燥可以降低该缺陷出现的概率;甲苯与HgCdTe表面直接接触时会导致碲镉汞表面粗糙度增大,工艺中需要避免甲苯和HgCdTe表面的直接接触。
2023, 42(2):156-161. DOI: 10.11972/j.issn.1001-9014.2023.02.003
摘要:考虑外加磁场导致的量子化朗道能级以及邻近效应诱导产生的交换作用,采用无规相近似(Random-phase approximation,RPA)下的介电函数对单层二硫化钼(Monolayer molybdenum disulfide,ML-MoS2)的纵向磁光电导率进行理论研究。探究了磁场、邻近效应诱导产生的交换作用等因素对纵向磁光电导率的影响。在太赫兹(Terahertz, THz)频段,可以看到由导带内电子跃迁所贡献的两个磁光吸收峰。在可见光频段,可以观察到从价带到导带电子跃迁所贡献的多个磁光吸收峰。研究结果表明,邻近效应诱导产生的交换作用和磁场强度对纵向磁光电导率有重要的影响,单层二硫化钼可应用于可见光到太赫兹频段的自旋电子学和谷电子学磁光器件。
杨万丽 , 黄田田 , 张乐鹏 , 徐沛然 , 姜聪 , 李天信 , 陈志民 , 陈鑫 , 戴宁
2023, 42(2):162-168. DOI: 10.11972/j.issn.1001-9014.2023.02.004
摘要:利用垂直WS2/Ga2O3异质结构中异质界面诱导了反常的光致发光(PL)发射。垂直堆栈的WS2/Ga2O3异质界面使其形成了II型能带结构,导致与Ga2O3层接触的底层WS2的PL强度下降。而异质界面的强耦合作用也影响了双层WS2中的同质层间相互作用,使得上层WS2出现反常的PL增强。这种堆栈新型二维异质结构为定制目标能带结构并控制其光子和电子行为提供一种新的手段。
2023, 42(2):169-187. DOI: 10.11972/j.issn.1001-9014.2023.02.005
摘要:光电探测器在许多应用中发挥着关键作用,例如遥感、夜视、侦察、医学成像、热成像和化学检测。随着光电探测任务的逐渐复杂化,工作在不同波段的光电探测器逐渐被集成用于对同一场景的宽光谱探测。受限于集成系统的体积和任务模块,常规的宽谱探测任务往往需要多个不同波段的探测器协同工作,极大增加了系统复杂度,因此具有超宽带探测(紫外-可见-红外-太赫兹)能力的光电探测器逐渐成为国际研究的前沿热点。但是迄今为止,有关超宽带光电探测器的综述还没有见诸报道。因此,本文系统整理了超宽带光电探测器在过去十年的研究进展。文章首先介绍了衡量光电探测器响应性能的指标以及常见光电探测器的主要类型,在此基础上重点回顾了不同类型超宽带光电探测器的研究进展、发展现状、面临的挑战,并展望了未来的研究方向。
张坤 , 姚明 , 刘冬 , 刘博梁 , 李婧 , 姚骑均 , 史生才
2023, 42(2):188-192. DOI: 10.11972/j.issn.1001-9014.2023.02.006
摘要:高灵敏度太赫兹探测模块(High Sensitivity Terahertz Detection Module, HSTDM)是中国巡天望远镜的科学载荷之一。HSTDM是一台工作频段为410~510 GHz的高灵敏度高频率分辨率的外差混频接收机,其核心是工作在10 K温区的氮化铌(NbN)基超导隧道结(Superconductor - Insulator – Superconductor, SIS)混频器。HSTDM将首次实现氮化铌(NbN)基超导SIS混频器的空间应用。NbN基超导SIS混频器应适应空间环境的特殊要求,如高可靠性,对振动、宇宙辐照和热变化的适应性。对NbN基超导SIS混频器进行的鉴定试验测试,包括正弦振动试验、随机振动试验、单粒子辐照试验、总剂量辐照试验和热循环试验。研究结果表明氮化铌(NbN)基超导SIS混频器能够满足HSTDM的空间应用需求。
2023, 42(2):193-196. DOI: 10.11972/j.issn.1001-9014.2023.02.007
摘要:近年来,太赫兹成像技术在多个领域具有广阔的应用。一套完整的太赫兹成像系统的数学模型是非常有必要的。基于点扩散函数的太赫兹图像增强模型是很好的选择。该方法将目标函数与点扩散函数进行褶积,实现了太赫兹图像的模拟传输。然后根据光学成像的过程,计算成像系统的点扩散函数。最后,基于点扩散函数对图像进行反褶积增强。该模型用于探测图像增强的结果表明,该方法有效地提高了图像的分辨率。恢复的映像包含更多细节。
王伯武 , 于伟华 , 侯彦飞 , 余芹 , 孙岩 , 程伟 , 周明
2023, 42(2):197-200. DOI: 10.11972/j.issn.1001-9014.2023.02.008
摘要:基于500 nm 磷化铟双异质结双极晶体管(InP DHBT)工艺,设计了一种工作在33~170 GHz频段的超宽带共源共栅功率放大器。输入端和输出端的平行短截线起到变换阻抗和拓展带宽的作用,输出端紧密相邻的耦合传输线补偿了一部分高频传输损耗。测试结果表明,该放大器的最大增益在115 GHz达到11.98 dB,相对带宽为134.98%,增益平坦度为±2 dB,工作频段内增益均好于10 dB, 输出功率均好于1 dBm。
徐拓 , 路星星 , 沈雁 , 张金波 , 常天英 , 崔洪亮 , 张瑾
2023, 42(2):201-207. DOI: 10.11972/j.issn.1001-9014.2023.02.009
摘要:探索太赫兹波和玻璃纤维复合材料孔隙缺陷的相互作用机理,分析在0.075和0.713 THz频率点时,孔隙率和太赫兹特征参数(折射率、消光系数和透射系数)之间的相互作用关系。实验结果表明:随着孔隙率增加,玻璃纤维复合材料密度降低,折射率呈递减趋势。在频率为0.075 THz时,基于瑞利散射理论,随着孔隙率增加,消光系数下降,透射系数上升;0.713 THz时,基于Mie散射理论,随着孔隙率增加,消光系数上升,透射系数下降。此外,孔隙形貌的复杂多变导致孔隙率与太赫兹特征参数之间存在非唯一对应关系,具有相同孔隙率的不同样本的太赫兹特征参数并不相同。
2023, 42(2):215-222. DOI: 10.11972/j.issn.1001-9014.2023.02.011
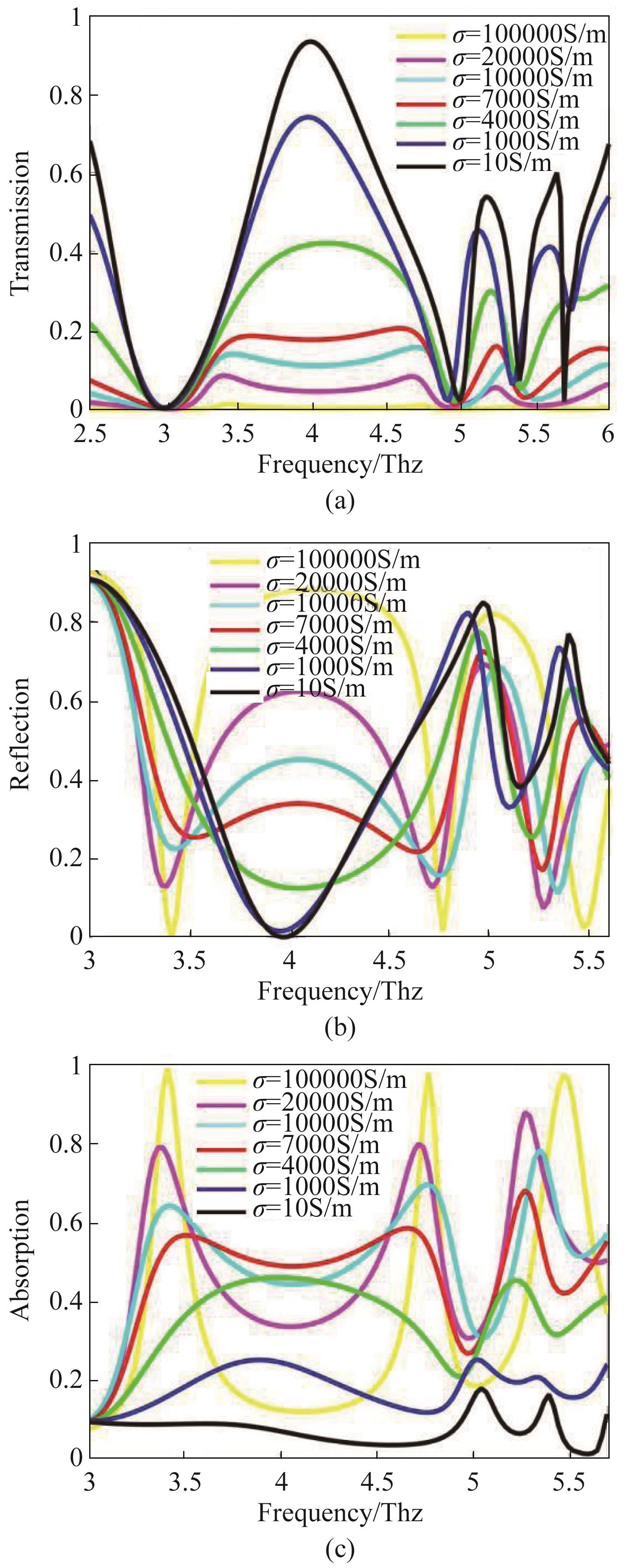
摘要:提出了基于狄拉克半金属(BDS)和二氧化钒(VO2)的三频带(triple-band)双调谐吸波体,通过时域有限差分法和等效电路模型(ECM)分析了吸波体的电磁特性。研究表明:当VO2呈现出纯金属态时,吸波体会出现三个明显的吸收峰,平均吸收率为98.64%。同时,通过改变BDS费米能量和VO2电导率可以动态调谐吸波体吸收峰处的谐振频率和吸收率。最后,分别讨论了吸波体吸波特性随BDS层、VO2层和中间介质层厚度的变化规律。这为多带双调谐滤波器、吸波体的设计提供了理论依据。
2023, 42(2):223-228. DOI: 10.11972/j.issn.1001-9014.2023.02.012
摘要:为灵活控制波束以增强多目标探测和跟踪功能,研制了基于人工表面等离子体激元(SSPP)的毫米波四波束高扫描率漏波天线(LWA)。根据正弦电抗调制叠加理论,对基片集成波导(SIW)槽缝形成的SSPP结构进行多周期性叠加调控,实现四波束扫描LWA。为改善天线的法向辐射性能,在SIW下表面周期性开槽,消除LWA的阻带效应。对设计的LWA进行加工和测试,结果表明在29 GHz~30.2 GHz的频带内,该天线的四个波束能从-52°连续扫描到+22°,扫描率达到18°/%BW,节约了频谱资源,并提高了多目标探测效率。
2023, 42(2):229-233. DOI: 10.11972/j.issn.1001-9014.2023.02.013
摘要:基于混合集成的方式,采用对称锥形渐变线匹配结构设计了335 GHz非平衡式三倍频器。在保证单模传输的条件下,该匹配结构不仅能够固定二极管位置,而且可以增大匹配效果,解决了高频段倍频器3 dB带宽较窄的问题。实测结果表明,该倍频器在330~356 GHz频率范围内输出功率均大于5 mW。驱动功率为220 mW时,有最高输出功率11.2 mW,由它作为核心器件组成的固态太赫兹本振源,能够驱动超外差接收机中670 GHz二次谐波混频器。
2023, 42(2):234-240. DOI: 10.11972/j.issn.1001-9014.2023.02.014
摘要:成功实现高转换效率的140 GHz TE22,6准光模式变换器原型设计。基于周期微扰原理设计Denisov辐射器,实现低边缘绕射的初级出射波束。针对三镜面光路系统,采用全矢物理光学积分作为主要计算手段,围绕主极化场分量进行三级相位修正面迭代优化,实现高出射高斯纯度的模式场转换,其中一级镜的修正有效改善了辐射器出射的不理想性。基于全矢数值仿真确认,相比原二次曲面原型设计,相位修正后的变换器系统的出射高斯纯度从92.7%提高到99.6%,结合98.8%以上的功率传递效率,实现了性能优越的高阶回旋管准光模式变换器原型设计。
武晋雯 , 纪瑞鹏 , 张玉书 , 孙龙彧 , 于文颖 , 冯锐 , 幸芳
2023, 42(2):241-249. DOI: 10.11972/j.issn.1001-9014.2023.02.015
摘要:随着光电技术的发展,低照度条件下的微光成像技术及其应用成为近年来的研究热点之一。在微光遥感影像上,很难单纯依靠辐射亮度或温度,将森林火灾与工业燃烧、城市等热源充分地分离,同时由于频繁的数据饱和问题,目前NPP火灾产品仅提供探测位置信息。因此,为了在各种高亮度异质热源中实现森林火灾识别,进一步推进火灾探测产品像素级表征,基于地表温度通过潜热传递随植被密度的增加而降低的原理,提出了一种新的光谱指数—增强夜光火灾扰动指数(ENFDI),并与传统的中红外波段(Tmir)火灾识别方法进行对比分析。结果表明,ENFDI可以增强森林火灾与城市热源之间的光谱差异,提高微光条件下森林火灾识别能力,森林火灾ENFDI明显高于城市热源区;ENFDI能够有效缓解微光波段易饱和的影响,ENFDI不仅可以明显地分辨出潜在饱和区内火光亮度的差异,增强火灾像元的可区分性,而且与中远红外亮温差的相关性R高达0.94~0.97,明显高于微光波段亮度(NTL)与中远红外亮温差的相关性(0.82~0.83);ENFDI具有一定的稳定性,它不受月相变化的影响,在有无月光情况下夜间森林火灾均被识别;ENFDI森林火灾识别精度(87.66%)高于传统中红外波段(Tmir)火灾识别精度(83.91%),与NPP /VIIRS主动火灾产品(VNP14IMG)具有良好的总体对应关系,定位偏差在628 m以内。因此,ENFDI指数对森林火灾的识别具有敏感性、稳定性和准确性,为进一步实现火灾像素级表征提供可行性参考。
何光辉 , 王虹 , 方强 , 张永安 , 赵丹露 , 张亚萍
2023, 42(2):250-259. DOI: 10.11972/j.issn.1001-9014.2023.02.016
摘要:星载光子计数激光雷达在接收信号的过程中会产生大量噪声,并且在复杂的山区地形中信噪比低,极大地影响对植被点云信号的准确提取。为解决该问题,提出了一种基于山地坡度的密度聚类算法。通过分析点云数据的密度和森林目标地形特征,用最大密度中心搜索法进行粗去噪,基于点云数据计算坡度角以优化密度聚类,完成数据精去噪。通过对提取的森林区域信号进行分类,拟合植被冠层廓线和地表廓线,结果表明本算法提取植被光子信号的准确率较高,地面与冠层廓线的RMSE分别为0.3588 m和3.7449 m,更适用于植被遥感点云数据处理。
牛锐泽 , 乔凯 , 智喜洋 , 巩晋南 , 江世凯 , 田超
2023, 42(2):260-266. DOI: 10.11972/j.issn.1001-9014.2023.02.017
摘要:基于衍射成像机理,建立红外合成孔径衍射光学系统调制传递函数(MTF)和信噪比(SNR)模型。随后,基于三维时域有限差分(FDTD)方法计算成像系统衍射效率,进而结合调制传递函数与信噪比表征系统成像特性。最后,分析了不同工作波长、视场和填充因子对主镜成像特性的影响。分析结果表明,红外合成孔径衍射光学系统的衍射效率、MTF和信噪比均具有空变、谱变特性,且随主镜填充因子的减小而降低。当填充因子为0.6时,与理想的全孔径系统相比,MTF积分面积降低45.42%,信噪比减小4.92 dB。该模型可用于分析红外合成孔径衍射光学系统成像质量,为成像系统的设计提供参考。
张家瑞 , 王蓟 , 何幸锴 , 沈琪皓 , 范琪 , 周鼎富 , 王浟
2023, 42(2):267-275. DOI: 10.11972/j.issn.1001-9014.2023.02.018
摘要:采用半导体可饱和吸收镜的锁模光纤激光器是构建皮秒脉冲光纤放大器的热门候选种子光源之一。本文利用非线性薛定谔方程从理论上分析了单模传输光纤和单模增益光纤的模场半径、增益光纤的光纤长度、光纤布拉格光栅的反射率、半导体可饱和吸收镜的调制深度、非饱和损耗和饱和通量对输出脉冲特性的影响。对输出激光的脉冲和光谱特性也进行了理论研究。根据仿真结果,搭建了基于非保偏线型腔和SESAM的掺镱锁模光纤激光器系统。在没有任何腔内色散补偿和外部偏振控制的情况下,获得了中心波长为1.06 μm、脉冲宽度小于12.51 ps、光谱宽度为0.32 nm、重复频率为37 MHz、输出功率为2 mW的稳定锁模脉冲激光输出。在我们的实验中,激光脉冲的光谱边缘平滑,光谱分布非常接近高斯线型。最后,通过系统的仿真,近红外锁模光纤激光器的整体结构得到了优化。本文介绍的锁模光纤激光器具有紧凑的非保偏光纤结构、精简的腔内配置和较少的元器件、高质量的输出脉冲相关特性,有望为下一代皮秒脉冲光纤激光器提供性能优异的实用化种子光源。
2023, 42(2):276-284. DOI: 10.11972/j.issn.1001-9014.2023.02.019
摘要:在驾驶和在线课堂这类持续时间较长的行为中,人们容易出现分心而导致事故发生或上课效率差。为检测这类分心行为,提出了一种基于低分辨率红外阵列传感器的头部运动检测方法,它在实现行为监测的同时也保护了个人隐私。首先,基于图像处理方法提取了人体的显著区域;然后设计了一种三维图像融合算法来提取时空域的变化信息;最后,设计了一个改进的残差网络来实现头部运动分类。面向驾驶和在线课堂应用场景设计了10种头部运动。实验结果表明,在50 cm到100 cm的检测范围内,平均识别率为96.76%,处理速度为9帧/s,优于现有算法。将该系统应用于车内实测,也达到了93.7%的准确率。

主编:褚君浩
国际标准刊号:ISSN 1001-9014
国内统一刊号:CN 31-1577
国内邮发代号:4-335