
主编:褚君浩
国际标准刊号:ISSN 1001-9014
国内统一刊号:CN 31-1577
国内邮发代号:4-335
- 浏览排行
- 引用排行
- 下载排行
2024, 43(6):733-737. DOI: 10.11972/j.issn.1001-9014.2024.06.001
摘要:本文介绍了一种具有低成本高效益的化学方法,通过将辛烷(C8H18)和十二烷(C12H26)两种类型的烷烃基团分别嫁接到MXene表面,实现对薄片的弯曲形变,从而增强了中波长的红外吸光度。烷烃的链长超过表面官能团Tx(=O、-OH、-F)的键长,从而将片内应力和片间应力作用到Ti3C2Tx MXene薄片表面。电子显微镜和原子力显微镜测试表明,薄片有明显的边缘褶皱和拉伸/压缩变形。薄片终端的烷烃将Ti3C2Tx Mxene从2.5 μm到4.5 μm波长的中波红外区域的吸光度由略高于50%,提高到99%以上。这种吸收增强归因于Ti3C2Tx MXene红外反射率的降低。C-H键骨架振动覆盖了上述区域,并部分降低了表面反射率。同时,由于边缘褶皱和拉伸/压缩导致的薄片变形增加了比表面积,从而增加了吸收。此结果对中波红外伪装技术具有一定的应用价值。
白治中 , 黄敏 , 徐志成 , 周易 , 朱艺红 , 沈益铭 , 张君玲 , 陈洪雷 , 丁瑞军 , 陈建新
2024, 43(6):738-743. DOI: 10.11972/j.issn.1001-9014.2024.06.002
摘要:报道了12.5 μm的InAs/GaSb II类超晶格长波红外焦平面探测器。实验采用分子束外延技术在GaSb衬底上生长超晶格材料。吸收区超晶格结构为15ML(InAs)/7ML(GaSb)。探测器采用PBπBN的双势垒结构以抑制长波探测器暗电流。研制了规模为1 024×1 024、像元中心距为18 μm的长波焦平面探测器。采用金属杜瓦封装,与制冷机耦合形成超晶格长波探测器制冷组件。在60 K温度下测试了探测器各项性能。探测器50%截止波长为12.5 μm,平均峰值探测率达到6.6×1010 cmHz1/2/W,盲元率为1.05%,噪声等效温差NETD为21.2 mK。红外焦平面成像测试得到了清晰的长波图像。
秦嘉怡 , 罗曼 , 成田恬 , 孟雨欣 , 祖源泽 , 王鑫 , 余晨辉
2024, 43(6):744-748. DOI: 10.11972/j.issn.1001-9014.2024.06.003
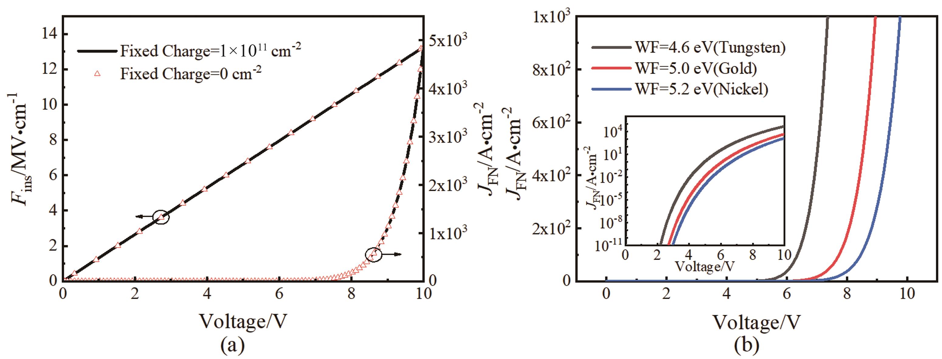
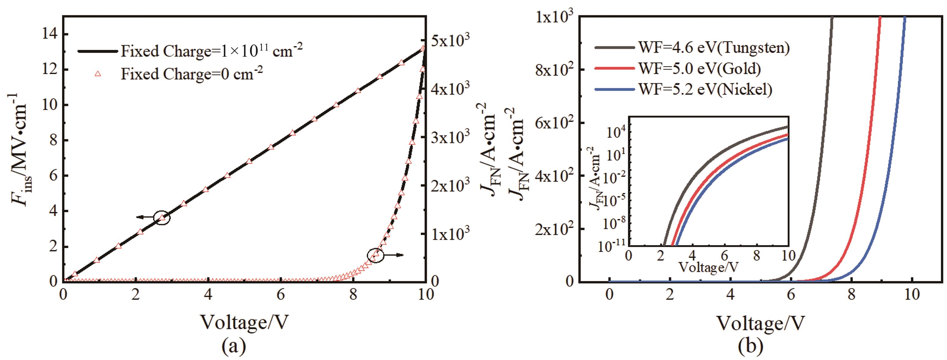
摘要:六方氮化硼(h-BN)由于其优良特性被广泛应用于栅介质层、钝化层、隧穿层等功能。目前,对关于超薄h-BN的基本物理性质和其中的电子隧穿效应的研究还存在不足。文中采用实验与理论相结合的研究方法,通过拟合金属/绝缘体/金属结构的电流-电压曲线成功提取了不同层数h-BN的有效质量。结果显示在4~22层范围内,h-BN的有效质量随着层数的增加而单调下降。作者利用已提取的有效质量精确确定了当h-BN中发生电子隧穿时,Fowler-Nordheim隧穿模型的物理参数。此外,文中使用该物理参数在Sentaurus TCAD软件中研究了金属/h-BN界面处固定电荷以及不同种类的金属电极对该结构中Fowler–Nordheim隧穿的影响。这项工作对促进h-BN相关红外物理和技术领域的应用具有一定的参考和指导意义。
HABIBA Um E , 陈天业 , 刘赤县 , 窦伟 , 刘晓燕 , 凌静威 , 潘昌翊 , 王鹏 , 邓惠勇 , 沈宏 , 戴宁
2024, 43(6):749-754. DOI: 10.11972/j.issn.1001-9014.2024.06.004
摘要:阻挡杂质带结构红外探测器的响应波长可达200 μm,是最重要的甚长波长红外天文探测器。离子注入方法简化了器件的制造过程,但容易造成晶格损伤,引入晶体缺陷,并导致探测器暗电流增加。文章对锗掺硼离子注入工艺进行了研究,并对晶格损伤机制进行了讨论。实验条件包括使用80 keV能量进行硼离子注入,剂量范围为
田宇 , 于春蕾 , 李雪 , 邵秀梅 , 李淘 , 杨波 , 于小媛 , 曹嘉晟 , 龚海梅
2024, 43(6):755-761. DOI: 10.11972/j.issn.1001-9014.2024.06.005
摘要:超小中心距InGaAs探测器的制备需要降低探测器像元间的串音和探测器的暗电流。通过探索微台面InGaAs探测器制备工艺,成功制备了10 μm和5 μm中心距微台面InGaAs光敏芯片测试结构,并对其像元间的串音和探测器的暗电流进行了详细研究。结果表明,当隔离沟槽刻蚀进入吸收层时,微台面结构能有效抑制像元间的串音;但是由于在制备微台面器件过程中造成的材料损伤,由此引起的复合电流和欧姆漏电流的增加,会导致探测器暗电流增幅超过一个数量级。研究结果为制备超小中心距InGaAs焦平面探测器提供了新思路和启示。
王浩淼 , 贺钰雯 , 李弋 , 胡耀 , 张亮 , 杜维川 , 高松信 , 唐淳 , 马骁宇 , 刘素平
2024, 43(6):762-767. DOI: 10.11972/j.issn.1001-9014.2024.06.006
摘要:主控振荡功率放大(MOPA)激光器因可实现高功率、高光束质量输出而受到越来越多的关注。为了提高MOPA激光器的偏振度以减小偏振合束时的效率损失,有源区采用InGaAs/AlGaAs压应变单量子阱,脊型波导1.35 μm的深刻蚀设计提高了TE模式的光限制因子,锥形放大器采用金属应力调控增加量子阱中的压应变。结合这两种方案,不仅提高了两个区域的偏振度,同时减小了偏振角度差。采用标准工艺制备的MOPA器件,实现了11 W@15 A连续输出和90%以上的偏振度。
2024, 43(6):768-774. DOI: 10.11972/j.issn.1001-9014.2024.06.007
摘要:基于GaAs平面肖特基二极管工艺,采用反向并联二极管对的平衡结构,实现了W波段宽带三倍频器芯片。采用有限元法和等效电路法联合的方式,建立10~280 GHz频率范围的平面肖特基二极管的精确等效电路模型。采用非线性谐波平衡联合仿真方法,实现了W波段倍频器的最优化设计。在片测试结果表明,在17 dBm的驱动功率下,倍频损耗小于15 dB,最大倍频效率6.7%,芯片尺寸0.80 mm×0.65 mm ×0.05 mm。
2024, 43(6):775-783. DOI: 10.11972/j.issn.1001-9014.2024.06.008
摘要:合成孔径雷达(synthetic aperture radar,SAR)是一种高分辨率的二维成像雷达,但在成像过程中,合成孔径雷达易受到有意和无意的干扰,导致图像质量的严重下降,其中最常见是射频干扰。为了解决上述问题,众多算法被提出,虽然图像修复已经取得了优秀的结果,但是其泛化能力未知,在跨传感器实验中它是否仍然有效需要进一步验证。通过在时频域上对干扰信号分析,本工作发现射频干扰在不同传感器之间具有域不变的特征。因此,本工作重构了损失函数,并提取域不变特征,以改善网络的泛化能力。最终,本工作提出了一种基于域不变特征的合成孔径雷达射频干扰抑制方法,并将射频抑制网络嵌入到合成孔径雷达的成像过程中。所提方法与传统的陷波滤波方法相比,不仅能够消除干扰,还能有效保留强散射目标。同时与PISNet相比,所提方法可以提取域不变特征,具有更好的泛化能力,即使在跨传感器实验中,仍然可以取得优秀的结果。在跨传感器实验中,训练数据和测试数据来自不同的雷达平台,具备不同的雷达参数,因此,跨传感器实验可以为模型的泛化能力提供证明。
2024, 43(6):784-796. DOI: 10.11972/j.issn.1001-9014.2024.06.009
摘要:针对合成孔径雷达(synthetic aperture radar,SAR)图像中属性散射中心模型(attributed scattering center model,ASCM)参数估计复杂度高的问题,提出了一种融合图像域信息的稀疏表示参数估计方法。首先,利用改进的分水岭算法将不同区域的散射中心进行分割。然后,基于分割结果,将频率域稀疏表示字典进行解耦拆分,提出序列化正交匹配追踪(serialized orthogonal matching pursuit,SOMP)进行散射中心参数估计,从而降低算法复杂度。结合仿真数据和MSTAR实测数据,验证了该方法参数提取的有效性和效率,并分析了理论复杂度优化情况。结果表明,该方法可以在和普通的正交匹配追踪算法取得相近结果的前提下,较大程度地减小算法的时间和空间复杂度,可用于对SAR图像的高效属性散射中心参数提取。
栾一飞 , 王翔 , 顾罗 , 林玥 , 杨秋杰 , 何志平
2024, 43(6):797-805. DOI: 10.11972/j.issn.1001-9014.2024.06.010
摘要:发射率作为表征物体辐射特性的关键参量,其准确测量对于高温目标识别、材料改性表征、金属冶炼过程调控等领域具有重要价值。多光谱辐射法测量发射率因其非接触和测量速度快等优势而成为研究热点,其测量精度由欠定方程组的求解精度决定。目前对欠定方程组求解精度的研究主要关注方程求解算法误差,忽略了光谱仪自身的测量误差,导致未能合理地控制系统误差。本文基于适用范围广、测量精度高的缓变假设,通过模拟不同条件下光谱通道数和信噪比对发射率测量误差的影响,确定了相应条件下光谱仪的参数配置,并对发射率测量效果进行实验验证。实验结果表明,使用基于缓变假设的多光谱辐射法,为使黑体发射率测量误差小于1%,光谱仪的光谱通道数应不小于400,信噪比不低于1 000;对发射率变化复杂的目标而言,为使测量误差小于1%,应至少具有1 000个光谱通道数及1 200以上的信噪比。综合考虑算法误差和光谱仪参数匹配关系,是合理控制系统误差的关键,可以获得更精确的发射率测量结果,这为多光谱辐射法精确测量发射率的应用提供了新的依据和解决方案,对于高温目标的准确识别和相关领域的应用具有重要意义。
李雪楠 , 赵增月 , 郁菲茏 , 陈金 , 李冠海 , 李志锋 , 陈效双
2024, 43(6):806-812. DOI: 10.11972/j.issn.1001-9014.2024.06.011
摘要:超表面为电磁波的动态调控提供了一个强大平台。超表面与相变材料的结合促进了多功能器件的产生,其基于非晶态和晶态之间转换展示了多种可调的功能。然而,可调状态的内在限制增加了对超器件多路复用的通道约束。介绍了一种通过对编码相变超单元进行二级调控实现多功能超器件的新方法,利用相变材料Ge2Sb2Se4Te1(GSST)和高折射率液体二碘甲烷(CH2I2)实现了对电磁波调控的精确控制。设计的超表面由GSST的相态控制可调功能的开启和关闭,当可调功能开启时,微纳孔洞中液体的存在与否决定了偏折的角度。提出的可调编码超表面在宽波谱展现了良好的鲁棒性。与高折射率液体结合拓展了超器件的调控维度,使器件能在不同比特编码间实现动态切换。基于相变材料的二级可调超器件为多功能的动态调控提供了一条可行的路径。
施策 , 谢茂彬 , 郑伟波 , 冀若楠 , 王少伟 , 陆卫
2024, 43(6):813-819. DOI: 10.11972/j.issn.1001-9014.2024.06.012
摘要:本工作提出了一种新的薄膜厚度检测方法,该多波长方法显著地降低了膜厚检测对于宽光谱数据的需要。不同于需要几百个光谱数据点的传统技术,多波长方法在仅采用10个波长数据点的情况下即可实现精确的膜厚测量。这一创新不仅简化了光谱测量分析的过程,同时也使得工业化镀膜产线上实时的膜厚准确检测成为可能。该方法能够在使用少量数据的情况下有效地恢复和拟合可见波段光谱(400~800 nm),同时能够很好地将膜厚检测误差保持在7.1%以内。这一进展为许多工业应用中更加实用而高效的薄膜厚度检测技术奠定了基础。
张猛 , 杨希 , 郭嘉伟 , 蔡和 , 吴芯洋 , 韩聚洪 , 王顺艳 , 王浟
2024, 43(6):820-826. DOI: 10.11972/j.issn.1001-9014.2024.06.013
摘要:LD直接泵浦固体激光器具有原理简单、体积小和结构紧凑等优点,该结构用于实现3~5 μm波段的中红外激光输出时具备较大优势。然而,相较于常规近红外LD泵浦的固态激光器,LD直接泵浦中波红外固体激光器存在着较大的量子缺陷,可能导致较大的热损伤并限制其功率的进一步提升。为解决这一问题,本文提出了减小晶体比表面积和改善晶体结构释放热能的方法,并确定了氟化钇钡激光晶体(Ho3+:BY2F8)的最佳长度。通过COMSOL软件进行了热力学仿真模拟,研究了不同长度激光晶体的冷却结构。实验结果显示,采用长度略短于冷却器的激光晶体可以提高输出功率并较大缓解激光晶体内部的热应力。实验表明,在泵浦重复频率为15 Hz、脉冲宽度为90 μs,激光器输出波长约为3.9 μm时的单脉冲能量为7.28 mJ,此值长度约为10 mm晶体输出能量(2.81 mJ)的3倍。这一研究结果为未来构建实用化的中波红外激光器铺平了道路。
王振华 , 杨武钟 , 刘向锋 , 王凤香 , 徐卫明 , 舒嵘
2024, 43(6):832-845. DOI: 10.11972/j.issn.1001-9014.2024.06.015
摘要:光子计数激光雷达采用单光子探测器,受背景环境、目标特征和仪器性能等因素的影响,在记录目标散射/反射回波信号的同时还记录了大量的背景噪声。为实现海量光子点云中地物信号光子的高精准识别,本文提出利用两级体素的光子点云自适应降噪方法,包括:1)利用光子点云的空间分布特征构建大尺度的体素,结合体素的密度属性筛选包含密集信号光子点云的体素,实现光子点云的粗降噪;2)基于最近邻距离建立粗降噪后光子点云的小尺度体素,并利用拓扑关系进一步提取聚集于地物表面的信号光子。以Ice, Cloud and land Elevation Satellite-2/Advanced Topographic Laser Altimeter System(ICESat-2/ATLAS)获取白昼与夜晚光子点云的ATL03级数据为实验数据,将提出方法与改进Density-Based Spatial Clustering of Applications with Noise(DBSCAN)、改进Ordering points to identify the clustering structure(OPTICS)以及ATL08级数据产品进行比较分析。结果表明,该方法具有最优的性能表现,其平均精度(P)、召回率(R)和F1分数(F1)分别达到0.98、0.97和0.98。
张星宇 , 朱首正 , 周天舒 , 亓洪兴 , 王建宇 , 李春来 , 刘世界
2024, 43(6):846-857. DOI: 10.11972/j.issn.1001-9014.2024.06.016
摘要:基于压缩感知理论的编码孔径快照式光谱成像系统可以看作编码器,高效获取压缩后的二维光谱数据,再通过深度神经网络解码为三维光谱数据。然而,深度神经网络的训练需大量难以获得的干净数据。针对深度神经网络训练数据不足的问题,提出一种基于邻域采样思想的自监督高光谱去噪神经网络,并将其嵌入到深度即插即用框架中,最终实现自监督光谱重建,并验证不同噪声退化模型对最终重建质量的影响。实验表明,在不需要干净数据作为标签的情况下,自监督学习方法相较有监督学习方法的平均峰值信噪比提升1.18 dB,结构相似度提升0.009,且获得了更优的视觉重建效果。
2024, 43(6):858-870. DOI: 10.11972/j.issn.1001-9014.2024.06.017
摘要:为避免现有多帧红外弱小目标检测算法在显式对齐多帧特征时产生的估计误差累积,并缓解网络降采样导致的目标特征丢失,提出了一种渐进时空特征融合网络,采用渐进时序特征累积模块隐式地聚合多帧信息,并利用多尺度空间特征融合模块增强浅层细节特征与深层语义特征之间的交互。针对多帧红外弱小目标数据集稀缺的现状,构建了一个高度真实的半仿真数据集。与主流算法相比,提出的算法在所提出数据集和公开数据集上的检测概率分别提升了4.69%与4.22%。
2024, 43(6):871-878. DOI: 10.11972/j.issn.1001-9014.2024.06.018
摘要:行人重识别是从多个数据源中检索出指定目标的任务。红外(IR)和可见光(VIS)的图像差距较大,可见光和红外图像跨模态检索是主要挑战之一。为了能在弱光或夜间也具备相同的检索能力,需要结合红外图像的跨模态模型实现判断。 本文提出一个通过人体关键点引导注意力的新方法,通过关键点引导将全局特征拆分为局部特征,再用生成的局部掩码重新训练原模型,强化对不同局部信息的注意力。使用这个方法,模型可以更好地理解和利用图像中的关键部位,从而提升行人重识别任务的准确率。

主编:褚君浩
国际标准刊号:ISSN 1001-9014
国内统一刊号:CN 31-1577
国内邮发代号:4-335