
主编:褚君浩
国际标准刊号:ISSN 1001-9014
国内统一刊号:CN 31-1577/O4
国内邮发代号:4-335
- 浏览排行
- 引用排行
- 下载排行
胡建波 , 王雄 , 马鹏飞 , 赵少华 , 杨巨鑫 , 戴光耀 , 谢缘 , 竹孝鹏 , 刘东 , 侯霞 , 卜令兵 , 刘继桥 , 陈卫标
2025, 44(6):819-827. DOI: 10.11972/j.issn.1001-9014.2025.06.001
摘要:大气环境监测卫星(DQ-1)主载荷大气探测激光雷达(ACDL)于2022年4月发射,是国际首个星载高光谱气溶胶探测激光雷达,在气溶胶廓线测量上性能优异。对ACDL激光雷达和气溶胶自动监测网络(AERONET)的气溶胶光学厚度(AOD)数据进行了星地对比,验证了ACDL的AOD数据的准确性(R2= 0.924)。2025年3月,中国北方地区沙尘频发,产生了大量沙尘气溶胶。本文分析了沙尘气溶胶的时空分布特征及其光学特性。研究分析表明,沙尘气溶胶主要集中于对流层,其退偏振比(0.19~0.38)和激光雷达比(38~60 sr)呈现典型沙尘光学特性,垂直方向最大覆盖高度为5 km,水平空间上覆盖超1 600 km。研究验证了ACDL的气溶胶高光谱分辨率探测技术在复杂气溶胶环境下的观测优势,为大气污染研究提供了重要数据支持。
2025, 44(6):828-839. DOI: 10.11972/j.issn.1001-9014.2025.06.002
摘要:反射层析激光雷达(RTL)通过激光探测获取目标回波投影数据以实现目标轮廓重建,但在实际中常因部分角度探测缺失导致投影数据不完备。针对这一问题,本文在已有技术的基础上,创新性地提出了一种联合投影数据结构稀疏特性与超分辨卷积神经网络(SRCNN)的目标轮廓重建方法,有效解决了传统算法在投影数据角度严重缺失情况下的失效问题。与常规RTL成像中直接引入稀疏求解模型的思路不同,本文基于投影数据的几何先验,结合结构稀疏与SRCNN实现投影数据的全角度高分辨反演,继而采用传统RTL成像完成目标轮廓的完整重建。为验证方法有效性,本文进行了基于面元法的激光回波投影数据仿真实验及系统外场实测实验。结果表明,所提方法在不同投影数据缺失条件下均能实现高质量的目标轮廓重建。
2025, 44(6):840-855. DOI: 10.11972/j.issn.1001-9014.2025.06.003
摘要:针对跨源点云质量差异导致的配准难题,本文提出一种改进球形体素局部形状描述符(Spherical Voxel Center Descriptor,SVCD)的跨源点云配准方法。SVCD通过双权重局部参考框架(Local Reference Frame,LRF)计算和球形体素分割,有效克服密度与分布差异。其核心创新在于利用体素中心到关键点的距离进行特征编码,增强描述符的区分度与鲁棒性。配准过程通过最近邻相似比建立对应关系,结合奇异值分解求解刚性变换。在3DCSR和真实数据集上的实验表明:SVCD配准误差低至0.004 8,召回率达82.83%和83.45%(较基线提升10.24和11.16个百分点),F1-score最高(0.803/0.832)。在高斯噪声实验中,SVCD仍保持76.54%的平均召回率,显著优于对比方法,验证了其在复杂场景下的强鲁棒性。该方法为跨源点云的高精度配准提供了有效解决方案。
方强 , 王虹 , 何光辉 , 周政宇 , 曹峰玮 , 宋庆和
2025, 44(6):856-864. DOI: 10.11972/j.issn.1001-9014.2025.06.004
摘要:星载全波形激光雷达作为一种先进的遥感技术,因其能够记录详细的地形和植被信息而在多个领域得到了广泛应用。然而,星载全波形激光雷达数据在采集过程中会受到诸如暗电流、光电探测器性能、探测目标周边环境和背景光等因素的影响,导致原始波形信号中存在显著噪声,对提取有效回波信息进行目标反演分析造成干扰。本文针对现有经典滤波算法中普遍存在的波形幅值下降问题,提出了一种自适应的滤波补偿波形幅值方法,利用蝙蝠算法优化高斯锐化算子参数,将高斯锐化算子与滤波后的波形数据进行卷积来实现波形补偿,自适应迭代确保补偿效果达到最佳。针对全球生态系统动力学调查(Global Ecosystem Dynamics Investigation, GEDI)回波数据进行实验验证,将文中方法与多种滤波算法进行比较,经滤波后最高波峰幅值平均降低了9.0077 counts,经过高斯锐化补偿后的波形与原始波形的最高波峰平均差值仅为0.0182 counts,且平均信噪比由30.0235 dB提升至33.2609 dB,相对提升了10.78%。结果表明,该方法结合滤波方法能够在去除噪声的同时,保留更多的原始波形特征信息,为进一步提取波形信息作地物参数反演和目标分类提供更为精确的数据,并且对多种滤波方法均有适用性。
饶志敏 , 李一成 , 李一秀 , 刘佳鑫 , 巩鑫 , 赵虎 , 毛建东
2025, 44(6):865-874. DOI: 10.11972/j.issn.1001-9014.2025.06.005
摘要:生物气溶胶粒子在空气中传播较广,高浓度的生物气溶胶对人体健康有着极大的危害。为实现大气生物气溶胶浓度的预警预测,本文以荧光激光雷达为探测工具,在获取生物气溶胶浓度廓线的基础上,结合大气环境相关参数,利用粒子群(PSO)和遗传算法(GA)优化支持向量机(SVM),建立生物气溶胶浓度廓线预测模型,通过采用温度、湿度、PM2.5、PM10、CO2、SO2、NO2、O3、风速等相关参数数据作为输入量,生物气溶胶浓度廓线数据作为输出量进行模型训练,确定预测模型参数配置,重新引入新的大气环境参数,利用训练好的模型预测生物气溶胶浓度廓线,并与荧光激光雷达探测的生物气溶胶浓度廓线进行比较,同时分析不同算法优化模型预测的生物气溶胶浓度及其相对误差。
王宇轩 , 孙晓兵 , 提汝芳 , 黄红莲 , 刘晓 , 余海啸
2025, 44(6):875-886. DOI: 10.11972/j.issn.1001-9014.2025.06.006
摘要:大气气溶胶的垂直分布具有高度复杂特征和时空变异性,是提高卫星遥感气溶胶反演效果的关键影响因素。研究基于2010年至2020年的CALIOP(The Cloud-Aerosol Lidar with Orthogonal Polarization)L3气溶胶剖面数据,采用无监督聚类方法对气溶胶的垂直分布特性进行了系统性研究。通过多个评估指标比较GMM(Gaussian Mixture Model)、K-means、谱聚类三种聚类算法的聚类效果。基于消光系数的垂直分布特征使用GMM聚类方法将气溶胶剖面划分为五种具有代表性的类型:低污染组合型、高污染组合型、指数衰减型、低污染均匀型和高污染振荡型。进一步分析了这些剖面在不同季节以及在青藏高原、京津冀、长三角三个典型地区的时空分布特征。研究结果表明,通过GMM聚类分析得到的气溶胶剖面呈现出显著的季节性和地域性差异。
2025, 44(6):887-895. DOI: 10.11972/j.issn.1001-9014.2025.06.007
摘要:2018年9月,美国航空航天局(NASA)发射了卫星ICESat-2(Ice, Cloud, and Land Elevation Satellite-2),其上搭载了迄今为止唯一在轨运行的星载单光子激光雷达系统ATLAS(Advanced Topographic Laser Altimeter System)。该激光雷达具有多波束、高重频、高测距精度的特性,在获取高精度、高分辨率的海浪参数方面具有巨大的潜力。文章提出了一种优化的基于点密度自适应阈值的海面信号光子提取方法,以及基于海面几何形态的海浪有效波高的计算方法,证明在1 km的数据长度上就能获得与NASA官方海洋产品一致的有效波高计算结果,获得了优于NASA官方3~7 km的波高数据分辨率。利用有效波高数据在南海生成了0.2°×0.2°格网的波高空间分布,分析了南海有效波高的空间分布特点和随时间变化的规律。发现南海海域中沙群岛周围和吕宋海峡附近海域的有效波高全年都呈现出较大值,北部湾、纳土纳群岛、苏禄海及西里伯斯海几个区域的值较小。南海波高和风速随时间的变化高度同步,表明该区域的海浪主要由风驱动。结合ERA5同时相的风速数据分别给出了近岸波高和深水波高与风速的定量关系,证明在同样风速下后者波高要大于前者。借助ICESat-2单光子激光测高雷达可以获取更高分辨率的浪高空间分布,特别是能准确获取近岸浅水区波高,能填补其他海浪观测手段在空间和时间上的空白,有助于海浪数值模式的优化和海洋学研究。
卢庆锴 , 么嘉棋 , 李国元 , 马晨 , 刘诏 , 夏皓斌 , 徐浩钧 , 武建军
2025, 44(6):896-907. DOI: 10.11972/j.issn.1001-9014.2025.06.008
摘要:陆地生态系统碳监测卫星(Terrestrial Ecosystem Carbon Inventory Satellite,TECIS/CM-1)通过多波束激光雷达、多光谱相机等多种主被动传感器协同观测,实现了大气云-气溶胶高分辨率综合立体监测。近年来,传统算法在低信噪比、近地表和多层结构混合等复杂环境下存在垂直层次检索精度和鲁棒性差的问题。针对于此,本文拟结合TECIS卫星多波束激光雷达数据特点和深度学习注意力机制,提出一种适用于新型多波束激光雷达的大气层次识别和应用的通用框架TECIS-CASNet。为验证该框架的可靠性,研究团队通过开展多次地基同步观测实验,对其识别精度进行了系统验证。最后,以中国京津冀地区典型沙尘长距离传输过程为研究对象,开展了示范性应用研究,充分展示了该框架的实际应用价值。结果表明:TECIS-CASNet框架对云-气溶胶识别精度较好,准确率达98.41%,在低信噪比、近地表和多层结构混合等复杂环境下能够减少误识别及漏检情况;气溶胶光学厚度反演绝对精度达到0.01,整体精度达到98%。本文围绕TECIS-CASNet框架的相关结论,对激光雷达卫星大气探测数据处理、环境监测应用等方面具有重要意义。
周文鑫 , 周思寒 , 韩启金 , 栾超 , 王恒 , 赵朴凡 , 李松
2025, 44(6):908-919. DOI: 10.11972/j.issn.1001-9014.2025.06.009
摘要:卫星激光测高技术能获取地面目标的准确三维坐标,是一种高精度的对地观测手段。激光测高数据目前被广泛应用于地形测绘、极地监测、林业调查等领域。基于自然地表的地形轮廓匹配方法将激光测高仪实测的地形轮廓与参考地形数据进行匹配,以确定激光测高数据的位置误差,是目前常用的激光测高仪在轨几何标定和精度检校方法。然而,地形匹配的效果受场地地形、激光数据轨迹长度、激光脚点间隔等多种因素的影响,相关研究尚处于起步阶段。文章针对参与匹配的激光数据轨迹长度以及激光脚点间隔两项影响因素开展研究,通过对目前观测密度最高的ICESat-2卫星的实测数据进行截取和抽稀,构建了一系列激光测高数据集并在北美地区开展了大量实验。通过对实验数据的统计,给出了激光数据轨迹长度以及激光脚点间隔与地形匹配不确定度之间的定量关系。
2025, 44(6):920-933. DOI: 10.11972/j.issn.1001-9014.2025.06.010
摘要:精确估算林下地形对维持生态系统平衡和生物多样性保护具有重要科学意义。针对传统森林地形反演方法以整体森林作为反演单元时存在的空间异质性表征不足问题,本研究提出基于精细化土地覆盖分类的森林类型差异化建模方法。以波多黎各地区和马里兰州为研究区,通过整合多源遥感数据构建多维特征体系:采用ICESat-2星载激光雷达获取林下地形基准值;基于SRTM数据提取坡度和坡向等地形因子;结合Landsat-8多光谱影像解析植被覆盖特征。本研究将森林类型作为分类建模条件,运用随机森林算法构建差异化地形反演模型。实验结果表明,相较于传统全域建模方法(RMSE=5.06 m),本研究提出的森林类型分类建模使林下地形估算精度显著提升(RMSE=2.94 m),验证了空间异质性建模的有效性。进一步敏感性分析发现,冠层结构参数(RMSE变异达4.11 m)相较于森林覆盖度对估算精度具有更强的调控作用,这为优化森林地形遥感模型提供了重要理论依据。
辛文辉 , 贺亦欣 , 姚杰 , 李仕春 , 郭延 , 高山 , 狄慧鸽 , 华灯鑫
2025, 44(6):934-942. DOI: 10.11972/j.issn.1001-9014.2025.06.011
摘要:为实现森林火灾的探测,基于火灾发生时所产生烟尘粒子的光散射、偏振效应,开发研制了一套高重频偏振激光雷达系统,由发射、接收、数据处理和扫描控制子系统组成。针对森林火灾探测的大范围、高分辨率、高时效性需求,选择大功率、高重频激光器作为探测光源,结合高角度分辨率云台实现精细的扫描探测,当激光雷达的重复频率为5 kHz时,能以1°的角度分辨在48 min内对半径为10 km的森林区域进行巡检扫描。为解决高重频探测时,回波信号的采集、累计平均难题,设计了一种新颖的、专用的“读出-累加-存储” 知识产权(Intellectual Property, IP)架构,高效地实现了回波信号的采集及信噪比的提升。搭建完成的高重频偏振激光雷达进行了近、远场模拟实验,探测的高值点与火点位置一致,将该激光雷达部署于延安市,成功地探测到了5.4 km和8.1 km处模拟火灾的发生,验证了系统的有效性。
陈杰 , 李国元 , 崔希民 , 严登华 , 神栋梁 , 张斌 , 刘昌儒 , 周晓青 , 袁德宝
2025, 44(6):943-953. DOI: 10.11972/j.issn.1001-9014.2025.06.012
摘要:高分七号卫星装备了我国首台业务化对地观测激光测高仪和亚米级光学立体相机,获取高精度激光测高数据和亚米级光学影像数据,可实现无地面控制点1∶10 000比例尺立体测图,在数字孪生水利的大范围空间底座建设和湖库水位监测方面具有独特的应用优势。研究以密云水库为主要研究区,使用该卫星激光和立体影像对水库水位和周边数字表面模型进行了提取,并开展了应用实践分析。研究结果表明:基于激光测高数据提取的水库水位绝对误差小于0.15 m,与国外同类型数据精度相当;基于数字表面模型进行的水面范围预测结果F1高于0.85,水量变化监测误差小于3%,可以满足相关水文学分析应用的要求。相关结论对于推广国产高分七号卫星激光测高和立体影像数据在水利领域的应用、更好助力流域级数字孪生水利建设具有参考价值。
2025, 44(6):954-962. DOI: 10.11972/j.issn.1001-9014.2025.06.013
摘要:机载点云的语义分割为其下游应用提供数据基础。全监督的深度学习方法通常依赖大量标注数据,而部分弱监督方法由于标签选择的随机性,难以有效学习代表性特征。为应对上述挑战,本文提出了一种标签高效的语义分割方法,结合主动学习策略,在每个周期内基于信息熵理论主动选取最具价值的标签点更新训练集,实现模型的渐进式学习。在 LASDU 数据集和 H3D 数据集上的对比实验结果表明,在仅使用 0.5% 和 0.1% 标签进行训练的情况下,该方法仍能够取得优于现有对比方法的分割精度,体现了其在弱监督场景下的高效性和优越性。
沈振民 , 郑永超 , 尚卫东 , 刘辉 , 杨颂 , 张景豪 , 孙倩 , 雷子昂
2025, 44(6):963-972. DOI: 10.11972/j.issn.1001-9014.2025.06.014
摘要:基于自研机载双频海洋剖面激光雷达获取的航飞试验回波数据,分析因波浪折射和水体散射引入的水深测量误差及其修正方法,提出基于Genetic Algorithm(GA)和Levenberg-Marquarelt(LM)算法相结合的波浪折射修正方法;理论分析表明,该波浪折射修正方法相比单一LM算法反演海浪轮廓的均方根误差(Root Mean Square Error,RMSE)降低约50%。利用实测回波信号中的海水剖面后向散射部分开展水体光学参数反演方法研究,并理论分析基于Fernald后向迭代积分法反演水体光学参数引入的误差及其影响因素,发现当“粒子激光雷达比”的估计值相对真值偏差为+a%比-a%时,其反演水体漫射衰减系数和180°体积散射系数的误差更小。
2025, 44(6):973-980. DOI: 10.11972/j.issn.1001-9014.2025.06.015
摘要:空间目标光学探测是实施碎片规避、预警、清除的前提,是维护在轨运行航天器安全、维持外太空活动可持续发展的重要基础。其中,激光雷达能够实现全天时探测,是被动光学载荷的重要补充。文章提出具有时间位置信息记录功能的空间暗弱目标单光子激光三维探测技术,获取穿过视场的动目标时空三维信息,并利用双Hough变换实现低信噪比下目标轨迹的检测。实验结果表明,该方法对不同运动速度的目标,在信噪比小于2时能够检出目标,对于强背景强目标,可以提升轨迹检测精度。文章的研究可为高速微弱目标高灵敏度监测提供参考。
2025, 44(6):981-991. DOI: 10.11972/j.issn.1001-9014.2025.06.016
摘要:极地区域在全球气候系统中扮演着关键角色,是气候变化的指示器和放大器,其独特的地理环境和气候过程对地球系统具有显著影响。激光测高技术以亚米级甚至厘米级的测高精度,在极地研究中备受关注。近年来,我国搭载激光测高载荷的卫星逐步增多,但少有基于国产卫星测高数据开展的极地研究,文章首先使用参考地形验证国产卫星激光测高数据极地高程精度,结果表明高分七号与资源三号03星激光数据在极地区域精度均优于1 m,陆碳监测卫星约为1.2 m;以激光测高数据辅助立体影像构建极地区域三维地形,地形产品成果满足1:10 000地形图制图标准,证明了复合测绘方法在极地区域的有效性;最后联合多源激光测高数据计算冰盖表面高程变化,分析国产卫星在极地变化监测上的应用潜力。文章从多个角度综合评估了国产卫星激光测高数据极地应用能力,可为后续基于国产卫星数据开展大规模极地研究提供重要参考。
张庆藩 , 谢欢 , 晏雄锋 , 金雁敏 , 陈杰 , 奚源廷 , 谢俊 , 马月超 , 朱飞虎 , 童小华
2025, 44(6):992-1000. DOI: 10.11972/j.issn.1001-9014.2025.06.017
摘要:本文介绍了一种专用于探测快速自转小天体的混合固态激光雷达系统,并根据其多快反镜、单光子面阵探测的特性进行测距原理分析和成像模型构建,为评估其在小天体探测中的性能和稳定性,提出一种基于小天体特征外场沙盘的测绘验证方法。结果显示,混合固态激光雷达系统可以在不同工作模式和功率下保持较高的精度,在全球地形测绘模式下分辨率达到1 100×1 100,成像时间为0.86 s,在100 m距离下的测绘精度达到2.86 cm;在步进扫描模式下,其分辨率约为前者的1/7,在34~83 m距离下平均精度达到3.10 cm。
王章军 , 庄全风 , 李辉 , 李昊 , 刘冬 , 陈超 , 潘新 , 陈硕 , 李传东 , 薛博洋 , 徐志军
2025, 44(6):1001-1012. DOI: 10.11972/j.issn.1001-9014.2025.06.018
摘要:气溶胶和风场作为海上大气研究的重要参数,实现其高精度测量具有重要意义。为实现海上大气气溶胶和风场的高时空分辨率走航观测,研制了一套船载大气多参数探测激光雷达,并详细介绍了该激光雷达的结构设计、探测原理、技术指标及反演方法。通过大气分子瑞利散射信号标定和风场观测对比测试,验证了系统的观测性能及数据准确性。基于2024年8月搭载“鲁青渔教16”试验船在中国黄海、东海海域开展的海上低空大气多参数走航观测实验,获取了观测期间0~10 km的气溶胶光学参数及0~5 km的风场信息。数据结果表明:海上气溶胶浓度空间变化明显,且存在低空气溶胶层及低空云;海上低空大气风速基本在20 m·s-1以下;边界层高度在1 km左右波动变化;气溶胶、风速及风向在200 m、500 m、1 000 m等不同高度分布特征存在差异。实验证明,该船载大气多参数探测激光雷达可搭载船舶、浮标等海洋平台,高效实现海洋上空气溶胶与风场的连续精确观测。
雷子昂 , 杨颂 , 沈振民 , 李同 , 王子豪 , 张睿哲 , 张景豪 , 郑永超
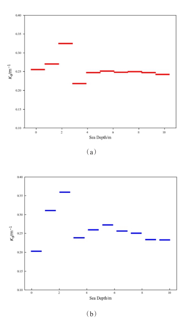
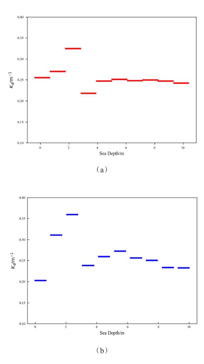
2025, 44(6):1013-1021. DOI: 10.11972/j.issn.1001-9014.2025.06.019
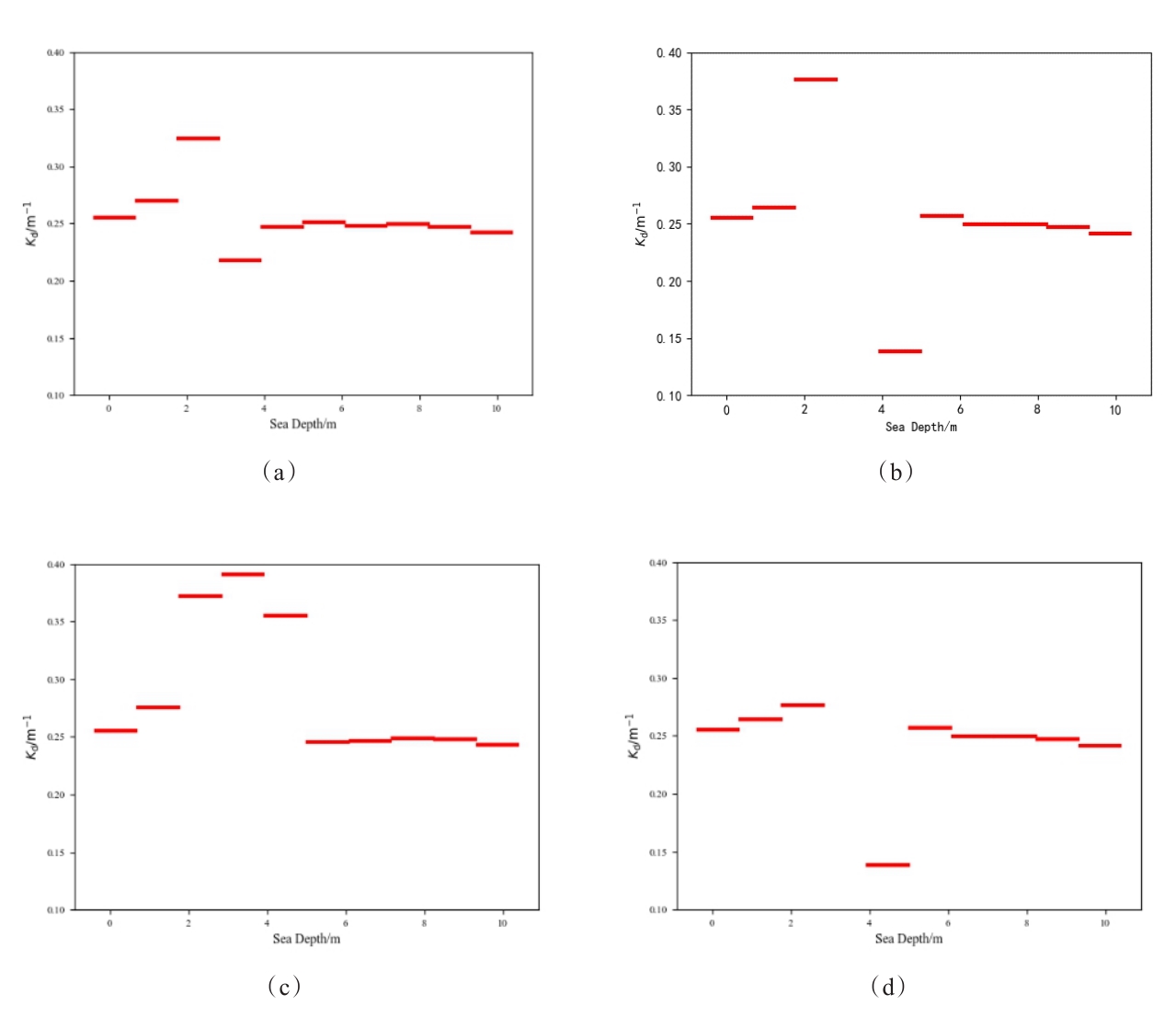
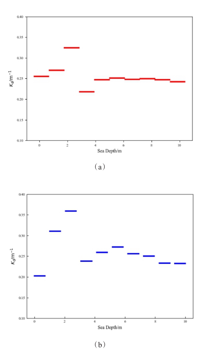
摘要:漫射衰减系数Kd是海洋光学中的核心参数之一,是由海水本身的光学性质和海水中的环境光场共同决定的表观光学参数,与海水水质和叶绿素浓度等密切相关。作为主动遥感手段,海洋偏振激光雷达发射能够穿透海水的蓝绿波段光源,具备全天时探测能力,这对于探测海洋Kd的剖面分布具有独特的优势。基于激光雷达的主动遥感手段,采用双偏振通道信号作为数据源,其中垂直偏振通道可用于抑制海表信号来增强近岸的海洋剖面后向散射信号,结合Fernald后向迭代法和斜率法,提出了一种分层反演海洋剖面漫射衰减系数Kd的方法。黄东海海域作为实验区域,将海洋激光雷达设备部署在海上实验平台,以10 m水深作为分层算法的实验验证。实验结果显示,双偏振通道信号在海表处的偏振度为0.479,以1 m作为垂直分辨率,双偏振通道分层反演海洋剖面Kd结果与实际原位测量数据的均方根误差为0.049,与非偏振通道信号相比,精度提升了52.4%;分层反演算法与传统Fernald算法相比,精度提升了32.4%。
2025, 44(6):1022-1030. DOI: 10.11972/j.issn.1001-9014.2025.06.020
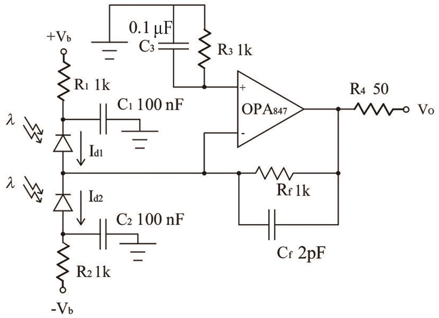
摘要:尽管激光雷达技术迅速发展,但超长距离观测仍然是一个重大挑战。最近,2 μm激光器因其穿过大气的高大气穿透能力和高潜在激光功率,被证明有可能应用于相干多普勒风激光雷达(CDWL)系统。在本文中,提出了一种2 μm平衡探测器,由一对光电PIN二极管和低噪声跨阻抗电路组成。为了满足高带宽要求,利用高速跨阻抗电路和偏置电压调谐方法来克服PIN二极管的大电容。对电路传递函数、稳定性分析和噪声计算进行了研究。该探测器与数据采集模块共同封装,便于数据传输和偏置电压控制。然后在实验室评估了探测器的特性,包括带宽、噪声和偏置电压的影响。结果表明,平衡探测器背景噪声的均方根值为539 μV,两个二极管的带宽分别为110.8 MHz和110.3 MHz。这满足了风测量要求,并允许通过偏置电压调谐实现更高的带宽,使得带宽相对于零偏压模式提升1.45倍。本工作为激光雷达探测器设计和带宽增强提供了见解,并为该领域的研究人员和专业人士提供了宝贵的参考,为未来的超远距离和星载2 μm相干风激光雷达提供了关键器件支持。
赵原强 , 张宸 , 张一衡 , 杨坚 , 王凯鑫 , 李少辉 , 周辉 , 马跃
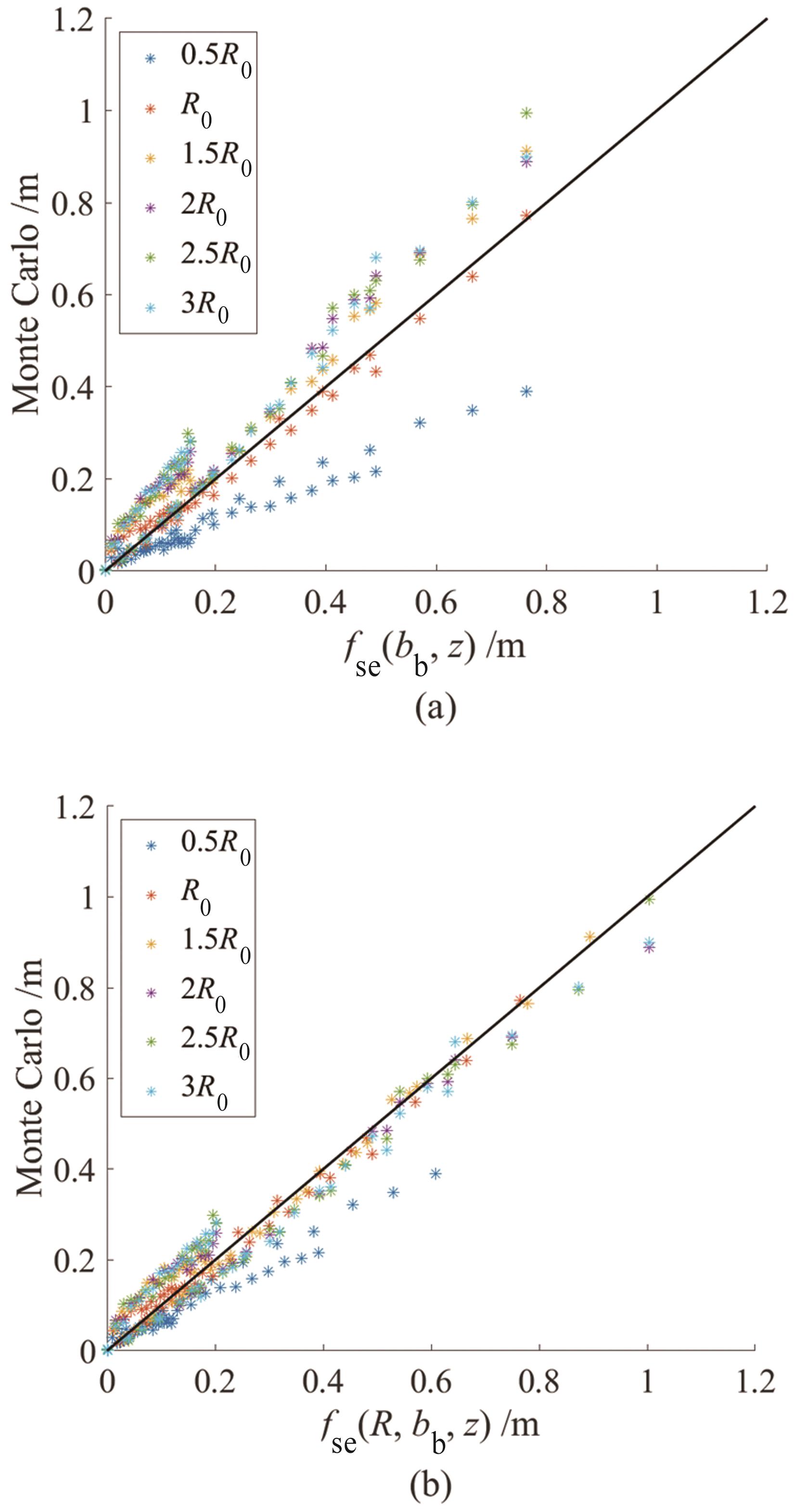
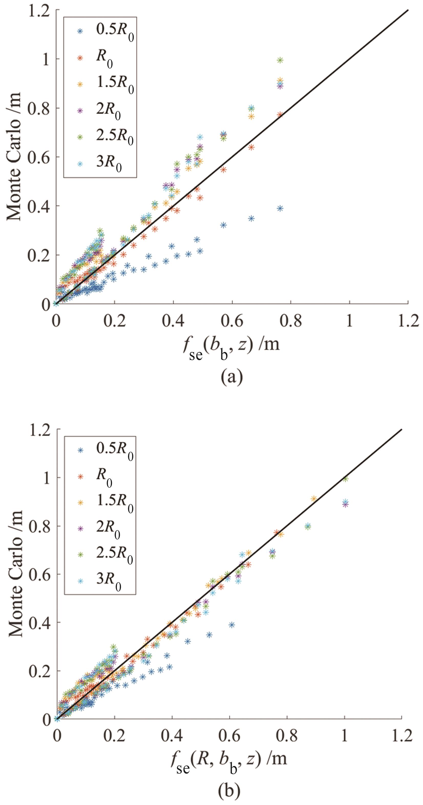
2025, 44(6):1031-1040. DOI: 10.11972/j.issn.1001-9014.2025.06.021
摘要:水体前向散射误差是激光测深的主要误差源之一,单项误差可能超过海道测量规范的水深精度要求。传统机载激光测深雷达利用回波波形拟合的散射误差抑制方式无法适用于单光子激光雷达的光子点云数据。基于蒙特卡罗方法,文章建立了星载单光子激光雷达前向散射误差修正经验公式,定量分析了基于模型仿真、公式拟合的散射误差修正算法的可靠性。利用ICESat-2测深误差初步修正后的水深数据、MODIS全球范围的531 nm水体后向散射系数作为输入,修正经验公式可以代替模型仿真过程实现水体散射误差的快速修正。文章对修正公式的输入参数的灵敏度分析表明,散射误差修正残差主要受水体后向散射系数的不确定度影响。若输入的后向散射系数误差在20%以内,所推导的经验公式可将散射误差修正残差降至水深的0.45%以下,在四种典型水体条件下,所推导的经验公式平均降低了72%的水体散射误差,能够有效剔除绝大部分的水体散射误差。文章进一步分析了不同系统参数对前向散射误差及修正公式的影响,考虑了在地表位置的接收视场半径,可将所推导的ICESat-2修正经验公式推广到未来可能的星载单光子激光测深雷达系统。

主编:褚君浩
国际标准刊号:ISSN 1001-9014
国内统一刊号:CN 31-1577/O4
国内邮发代号:4-335