
Editor in chief:Jun-Hao CHU
International standard number:ISSN 1001-9014
Unified domestic issue:CN 31-1577
Domestic postal code:4-335
- Most Read
- Most Cited
- Most Downloaded
XU Guo-Qing , WANG Reng , CHEN Xin-Tian , CHU Kai-Hui , TANG Yi-Dan , JIA Jia , WANG Ni-Li , YANG Xiao-Yang , ZHANG Yan , LI Xiang-Yang
2023, 42(3):285-291. DOI: 10.11972/j.issn.1001-9014.2023.03.001
Abstract:The junctions are prepared at the high composition end of nonlinear composition region and linear composition region respectively, and the photoelectric performance of HgCdTe detector with composition gradient was studied. By calculating the built-in electric field of composition gradient in two samples with different temperatures, the results show that the built-in electric field generated by the linear composition distribution is 100 ~ 200 V/cm, while the built-in electric field generated by the nonlinear composition distribution makes the electric field on surface of the sample as high as 2 000 V/cm. The analysis indicates that the influence of the built-in electric field generated by the composition gradient on the movement of the minority carrier is the main reason for the difference in the photoelectric properties of the two samples. By analyzing the three different trends of responsivity of the sample with different temperatures, it is proposed that using the built-in electric field generated by the composition gradient which is controlled by temperature can reduce the space charge effect and provides a new thought for improving the saturation threshold of the HgCdTe detector under large injection.
GENG Song , YANG Jin , LI Shu-Jie , QIN Gang , LI Li-Hua , ZHAO Jun , LI Yan-Hui , KONG Jin-Cheng , ZHAO Peng , ZUO Da-Fan , HU Yan-Bo , LIANG Yan , REN Yang
2023, 42(3):292-299. DOI: 10.11972/j.issn.1001-9014.2023.03.002
Abstract:Based on (211) B CdZnTe substrate, PPP type medium-wave and long-wave dual-band HgCdTe material was prepared by molecular beam epitaxy. The medium-wave and long-wave dual-band 640×512 infrared focal plane detector assembly was fabricated by mesa-hole etching, sidewall passivation and other processes. The test results of MW/LW dual-band HgCdTe material show that the macro defects (2~10 μm) density is about 773 cm-2. Then, the materials were tested by XRD double crystal diffraction half peak width (FWHM) and etch pit density (EPD). The FWHM measured by XRD is about 31.9 arcsec, and the EPD is about 5 ×105 cm-2. The etching depth of dual-band device chip mesa reaches 8 μm or more, the depth-width ratio is more than 1∶1, and the sidewall coverage is 72.5%. The test results of dual-band IRFPAs show that the response range is 3.6~5.0 μm and 7.4~9.7 μm. The crosstalk of medium wave to long wave is 0.9%, and long wave to medium wave is 3.1%. The average peak detection rate of medium wave and long wave reaches 3.31 × 1011 cm ? Hz1/2/w and 6.52 × 1010 cm ? Hz1/2/w, while the NETD and effective pixel rate are 17.7 mK, 32.8 mK and 99.46%, 98.19%, respectively.
DONG Hai-Yang , ZHAO Zhi-Chao , SUN Nan-Nan , ZHAO Cui-Lian
2023, 42(3):300-305. DOI: 10.11972/j.issn.1001-9014.2023.03.003
Abstract:Based on the platform of lithium niobate on insulator, a periodically poled lithium niobate thin film waveguide structure was designed. By utilizing the excellent nonlinear properties of lithium niobate combined with flexible phase matching schemes, the influences of structural dispersion on the poling period were analyzed. In addition, the difference in effective refractive index of waveguide mode varied with temperature was employed. The bandwidth of frequency conversion is expanded effectively by changing the material temperature, achieving the double-frequency in the range of 1.5 μm to 1.6 μm. Finally a normalized conversion efficiency of 562% is obtained, which provides a theoretical basis for further research on parametric conversion of chip photonics.
CHEN Ze-Zhong , DUAN Yong-Fei , LIN Hong-Yu , ZHANG Zhen-Yu , XIE Hao , SUN Yan , HU Shu-Hong , DAI Ning
2023, 42(3):306-310. DOI: 10.11972/j.issn.1001-9014.2023.03.004
Abstract:The material quality is very important to obtain the high performance infrared detector. It is presented that the key issue of the material quality is to control the lattice mismatch between the layers of the device architecture. The effects of the lattice mismatch on the material quality and the dark current characteristics were reported. In the InAs/InAsSbP system grown by LPE technology, there is an appropriate value for the lattice mismatch between InAsSbP and InAs. If the lattice mismatch deviates from this value, no matter whether it is smaller or larger, the material quality will deteriorate. Then it was stated how to adjust growth parameters to obtain the appropriate lattice mismatch. The infrared detector made from the device architecture with the appropriate lattice mismatch was fabricated, and the room-temperature peak detectivity of this detector is 6.8×109 cm Hz1/2W-1 at zero bias, which is comparable with that of international commercial InAs photodetectors.
CAO Yu , WU Ying , ZHOU Jing , NI Jian , ZHANG Jian-Jun , TAO Jia-Hua , CHU Jun-Hao
2023, 42(3):311-326. DOI: 10.11972/j.issn.1001-9014.2023.03.005
Abstract:Antimony selenosulfide (Sb2(S,Se)3) thin film solar cells have become a research hot spot in recent years due to their simple preparation method, abundant raw materials, low toxicity, stable performance, etc. Their power conversion efficiencies have exceeded 10%, showing the potential for industrialization. The research focus on Sb2(S,Se)3 solar cells is to improve the quality of the absorption layer and optimize the device structure. Firstly, the mainstream growth process of Sb2(S,Se)3 thin film is systematically introduced. Secondly, the selection of each functional layer and the gradient bandgap structure of Sb2(S,Se)3 solar cells are analyzed. Finally, the large-scale preparation of Sb2(S,Se)3 solar cells and their application potential in antimony-based multi-junction solar cells are further prospected to provide a feasible reference for promoting the industrialization of Sb2(S,Se)3 solar cells.
YANG Lei , CHEN Ying-Jie , WANG Teng-Teng , SONG Hao , FANG Cheng
2023, 42(3):327-338. DOI: 10.11972/j.issn.1001-9014.2023.03.006
Abstract:In the millimeter wave imaging of personal security inspection, it is with low probability to detect the dangerous and violent/explosive things in the limited two-dimensional imaging plane. Therefore, the human result reconstructed by three-dimensional fully focused algorithm is demanded urgently. It is difficult to achieve a balance between the accuracy and efficiency for the conventional three-dimensional reconstruction algorithms that are purely either in time or frequency domain. To this end, time-frequency coordinated three-dimensional reconstruction algorithm (TFC-3DR) is proposed based on the dimensional decomposition and algorithmic coordination scheme, in which the efficiency of frequency-domain algorithm and the accuracy of time-domain algorithm can be combined and coordinated. In order to guarantee the operational efficiency, the range migration is uniformly calibrated in the range-height plane under the azimuth invariance characteristics of the range migration algorithm (RDA) in the frequency-domain. Then, the time-domain back projection (BP) is employed in the range-angle plane through point-by-point coherent accumulation of pulse-compressed data and resolution units to guarantee the imaging accuracy. In the end, TFC-3DR is established with both high efficiency and accuracy. Due to the introduction to BP algorithm, the scanning trajectory of the array antenna in the angle dimension is flexible and variable, which reduces the blind area of the human body, so that highly missed and false detection rate can be avoided. Simulated and practical data of human body is performed to verify the effectiveness of the proposed algorithm. Meanwhile, the superiority over the proposed algorithm is examined by comparing with the BP reconstruction algorithm in terms of the reconstruction accuracy and computation complexity.
CHEN Xiao-Juan , ZHANG Shen , ZHANG Yi-Chuan , LI Yan-Kui , GAO Run-Hua , LIU Xin-Yu , WEI Ke
2023, 42(3):339-344. DOI: 10.11972/j.issn.1001-9014.2023.03.007
Abstract:In this study, we report a new design of GaN metal insulation semiconductor - high electron mobility transistor (MIS-HEMT) device with a 5 nm high-quality SiNX dielectric layer deposited between gate and AlGaN barrier layer, to reduce the gate reverse leakage and improve power added efficiency (PAE). Superior characteristics of the device are proved in DC, small signal and large signal tests, showing the improved device owing a high-quality interface, a wide-control-range gate, the capability to control current collapse and the ability to maintain high PAE when serving at frequency higher than 5 GHz. Serving at 5 GHz with VDS = 10 V, the device showed an output power of 1.4 W/mm, with PAE of 74.4%; when VDS rises to 30 V, output power increases to 5.9 W/mm with PAE remaining at 63.2%; a high PAE (50.4%) remained even when the test frequency increased 30 GHz while keeping the same output power. Additionally, the high-quality gate dielectric layer allows the device to withstand a wide gate voltage swing: the gate current remained 10-4 A/mm even gain compressed to 6 dB. The results demonstrate the improvement of the SiNx on MIS-HEMT device, which provides device-level guarantee for the power application of the system and the design of broadband circuits.
LI Wei-Fan , QI Feng , WANG Ye-Long , LIU Peng-Xiang , LIU Zhao-Yang
2023, 42(3):345-349. DOI: 10.11972/j.issn.1001-9014.2023.03.008
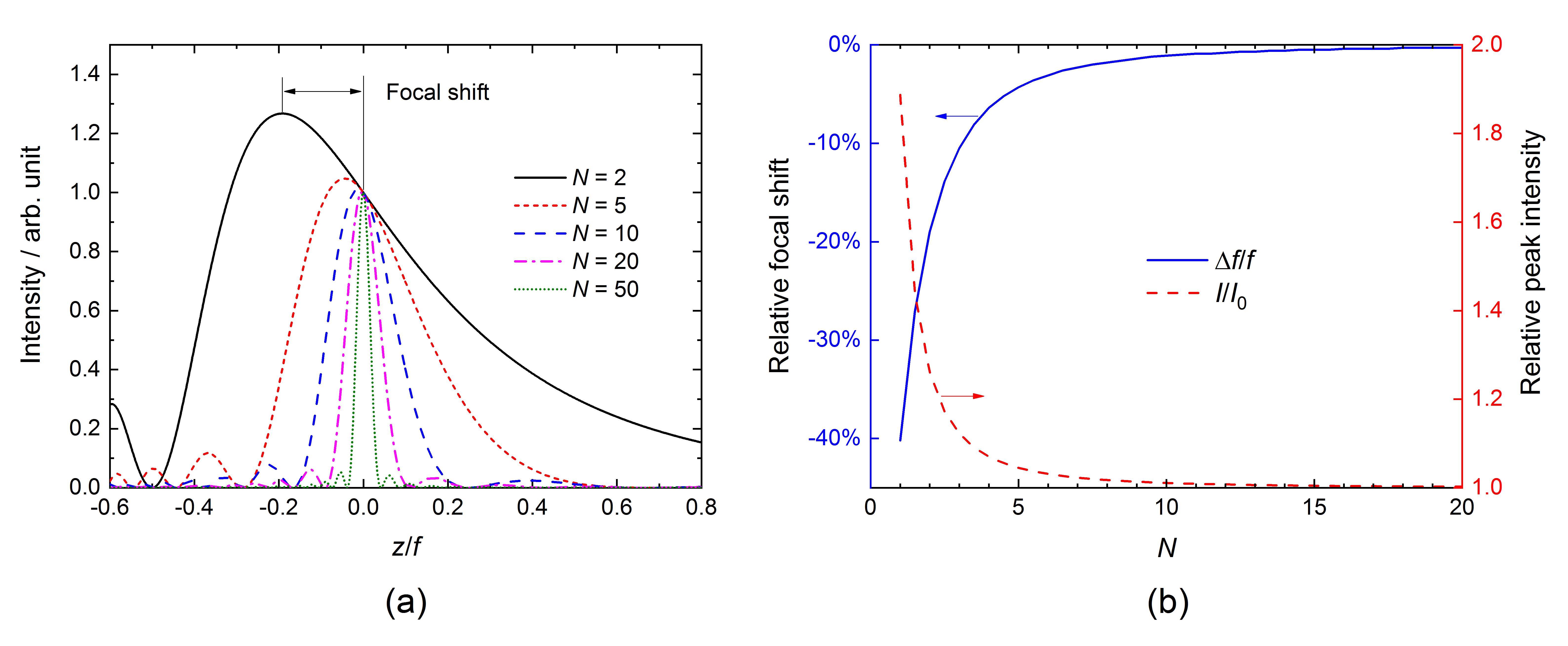
Abstract:The focal shift effect of terahertz (THz) beam focusing when using a wide-aperture refractive lens has been investigated. The deviation of focus position caused by the focal shift effect can adversely affect the imaging or measurement quality of a THz system. In this study, reference values of relative focal shifts and combinations of different lens apertures, focal lengths, and working frequencies were analyzed and discussed through theoretical calculation and finite element analysis simulation. When using the commercial lens, the actual focus was determined based on the focal shift effect to ensure the working efficiency of a terahertz system. Concerning the customized lens design, the focal shift distance was compensated in the focal length optimization according to the working frequency. These two approaches guaranteed the good performance of a THz system.
CHEN Pu , ZENG Xu , ZHANG Yi-Chi , GAO Dong-Shuo , FENG Jin-Jun
2023, 42(3):350-355. DOI: 10.11972/j.issn.1001-9014.2023.03.009
Abstract:In order to meet the requirements of high-power output and high-efficiency transmission of the 170 GHz gyrotron for fusion, it is necessary to convert the operating mode of TE25,10 to a Gaussian beam for output. In response to this technical requirement, based on the vector diffraction theory, geometric optics, coupled wave theory, and phase correction algorithm, a 170 GHz, TE25,10 mode high-efficiency quasi-optical mode converter was designed using a numerical calculation program. The mode converter consists of a Denisov launcher, a parabolic mirror, a quasi-elliptical mirror, and a phase correction mirror. Using Surf3D software and commercial simulation software FEKO for simulation calculation, the energy conversion efficiency of the designed quasi-optical mode converter is about 95.2%, the beam scalar Gaussian content is about 97.6%, and the vector Gaussian content is about 91.8%, reaching the application of gyrotron requirement.
ZHAO Lian-Min , LIU Jian-Wei , WANG Li-Na , QING Jie , JIA Kai , SUN Zong-Zheng
2023, 42(3):356-361. DOI: 10.11972/j.issn.1001-9014.2023.03.010
Abstract:In this article, the elliptic waveguide TE01-TE11 mode converter is studied. The proper elliptical waveguide cross section is selected, the phase re-matching method is used in the elliptical waveguide longitudinal contour line function, and the longitudinal contour line optimization is performed using a particle swarm algorithm, and the designed elliptical TE01-TEs11 mode converter has a conversion efficiency of 99.16% at 28 GHz. The efficiency of the mode converter at 27-29.3 GHz is more than 90%, and the relative bandwidth is 8.2%. The conversion section of the designed TE01-TEs11 elliptic mode converter is half of the existing length. The designed elliptical mode converter is connected to two transition segments and simulated and verified in CST, and the results are consistent with the theoretical calculations. An efficient, compact, high-power elliptical waveguide TE01-TE11 mode converter with a center frequency point of 28 GHz is designed.
YAO Chen-Yu , ZHANG Li-Bo , WEI Ying-Dong , WANG Lin , CHEN Xiao-Shuang , LU Wei
2023, 42(3):362-368. DOI: 10.11972/j.issn.1001-9014.2023.03.011
Abstract:New quantum states in 2D materials have important implications for condensed matter physics and the development of modern optoelectronic devices. However, terahertz photoelectric detection technology with broadband, room temperature, and fast response capabilities still faces great challenges due to the lack of an optimal balance between dark current and light absorption. In this study, a novel topological insulator material, GeBi4Te7, was synthesized, and its van der Waals heterojunction with Bi2Te3 was constructed to realize a highly sensitive terahertz photodetector. Direct generation of photocurrents at low-energy terahertz bands of room temperature has been realized in planar metal-material-metal structures. The results show that the Bi2Te3-GeBi4Te7-based terahertz photodetector can achieve wide spectral detection from 0.02 THz to 0.54 THz with high photosensitivity (592 V?W-1 at 0.112 THz, 203 V?W-1 at 0.27 THz, 40 V?W-1 at 0.5 THz), and a response time of less than 6 μs. Notably, it is already available for high-frequency terahertz imaging. These findings make it possible to use Bi2Te3-GeBi4Te7 topological insulator heterojunction materials for low-energy optoelectronic applications.
ZOU Yao-Pu , FENG Xuan , HAN Chang-Pei , LI Li-Bing , LIANG Xiao , QIAN Jing , LI Xiu-Ju
2023, 42(3):369-376. DOI: 10.11972/j.issn.1001-9014.2023.03.012
Abstract:Fourier transform spectrometer shows great advantages in the field of quantitative remote sensing. Nonlinear correction is an important part to ensure the accuracy of on-orbit radiometric calibration. The FY-4/GIIRS located in the stationary orbit has the characteristics of uneven sunlight exposure and severe daily changes in the background temperature of the instrument. A nonlinear correction algorithm based on instrument spectral responsivity correction is derived. By measuring a set of standard reference radiation source spectral quantification values and spectral responsivity, fitting the correction coefficient of the primary term of spectral responsivity. After the ambient temperature of the instrument changes, the correction coefficient of the response rate constant term can be recalculated using the correction coefficient of the first-order term, the spectral value and the spectral responsivity of the black body observation, and the nonlinear correction coefficient of the instrument under any instrument background temperature can be obtained. Verified by the ground thermal vacuum (TVAC) calibration tests data before the launch of the instrument, the algorithm is simple and effective. In each ambient temperature test, the radiometric calibration accuracy in the observation range of 180-320 K has been improved significantly.
REN Jie , ZHEN Zhen , JIN Si-Yue , HAN Hai-Long , YUAN Pu-Sheng , LI Ling-Yun , YOU Li-Xing , WANG Zhen , XU Xing-Sheng
2023, 42(3):377-382. DOI: 10.11972/j.issn.1001-9014.2023.03.013
Abstract:Packaging is one of the key technologies of optoelectronic devices. It also determines the performance of the packaged device. In the article, a method based on wavelength hysteresis is proposed to evaluate the thermal resistance of the laser at ambient temperatures from 298 K to 10 K. The thermal resistance is characterized by calculating the value of wavelength hysteresis during the cooling and heating process. This method solves the problem that the heat dissipation performance of the laser cannot be evaluated at low temperatures. This is of great significance to the optical interconnection at low temperatures. It also provides a reference for the package design of lasers in a low-temperature environment.
WANG Chong-Ru , HANG Gui-Cheng , JIN Xiang-Bo , LIU Jun , ZHOU Cheng-Lin , WANG Yue-Ming
2023, 42(3):383-390. DOI: 10.11972/j.issn.1001-9014.2023.03.014
Abstract:Airborne area array whisk-broom imaging systems require a high enough overlap rate between frames to avoid missed scans caused by the control error of the line of sight (LOS) during the scanning process, which restricts the imaging system''s adaptability under conditions of high speed height ratio, and limits the imaging swath of the system. This paper proposes a new method of LOS path planning model and overlap rate calculation. The scanning path of the LOS of the imaging system is optimal designed through the geometric analysis method of the image spherical projection, and based on the azimuth rotation angle of the image plane projection in the image sphere, a new model for overlap rate calculation is developed. Theoretical analysis and simulation experiments have verified that the stabilization accuracy of the LOS is increased from 2.93° to 0.15° when the lateral gaze imaging is performed at 40°, and the operation efficiency is increased by about 32% when the same speed height ratio and single-line 5-frame whisk-broom imaging are performed. The research work of this thesis is of great significance to promote the further development of airborne whisk-broom imaging technology toward the direction of wide field of view, high speed height ratio, and high resolution.
2023, 42(3):391-398. DOI: 10.11972/j.issn.1001-9014.2023.03.015
Abstract:The target signal is broadened due to the cross-pixel effect of the point target and the insufficient readout bandwidth of the detector when using the remote sensing instrument with large-scale infrared detectors to image the point target dominated by stars. After the equal interval sampling and data arrangement, the target image presents a “splitting point” state, which reduces the positioning accuracy and target recognition ability of spatial infrared remote sensing instruments. Aiming at this problem, a “splitting point” targets degradation model is constructed in this paper. According to the strong correlation between splitting points, a target detection process of pre-detection - energy dimension iteration - model updating – post-detection is designed. Through morphological filtering and the multiple hypotheses tracking technique, track the observations of the '' split point '' target independently and obtain the statistical information of “split point”. Then correct the constructed model with known star centroid and map it into the current detection image to correct the target centroid. The test results show that the method can effectively distinguish the false target caused by '' split point '' and multi-target, and the positioning accuracy is improved from more than 0.5 pixels to less than 0.15 pixels.
DU Ming-Bin , CUI Lin-Li , LU Feng , PENG Jie , SHI Jun , LIU Dong-Wei , FAN Hao
2023, 42(3):399-409. DOI: 10.11972/j.issn.1001-9014.2023.03.016
Abstract:FY-4A of China carries the Geostationary Interferometric Infrared Sounder (GIIRS) to realize infrared hyperspectral sounding on a geostationary orbit for the first time, which can continuously obtain information of atmospheric temperature and humidity profiles. Based on the conventional radiosonde data, the quality of FY-4A/GIIRS atmospheric temperature profile products in 2020 is evaluated from the aspects of detection capability and accuracy, providing reference for product applications and algorithm research. The results show that the detection ability of the atmospheric temperature profile retrieved by FY-4A/GIIRS is greatly affected by cloud activity in the height level and monthly statistics. Under clear sky conditions, the root mean square error of the whole atmospheric layer is about 2 K, while the lower atmospheric layer of 700-1 000 hPa is relatively larger (about 2.5 K). The bias of the whole atmospheric layer is mainly negative. The quality assessment of different months shows that summer and autumn are obviously better than winter and spring, which is conducive to observation in the season with the frequent disastrous weather. The temperature profile error of a single pixel is obviously large under cloudy conditions, and the multiple-pixel Cressman objective analysis can effectively improve the product availability. The product quality of temperature profiles in low altitude areas is significantly better than that in high altitude areas, which can greatly make up for the shortage of sounding data in the eastern, southern regions of China and the vast ocean surface.
ZHANG Xin-Yuan , HU Yi-Hua , HAN Fei , SHI Liang , XU Shi-Long , CHEN You-Long , WANG Yi-Cheng
2023, 42(3):410-417. DOI: 10.11972/j.issn.1001-9014.2023.03.017
Abstract:Laser reflective tomography imaging has a wide application prospect of space target remote sensing because its resolution is independent of distance. Before the reconstruction of the target image, the multi-angle echoes projection data need to be aligned with the rotation center of the target, which is the projection registration technique. This paper proposed a projection registration method based on the target contour auto-correction, and the experimental results show that the method is easy to implement on simple target since the registration center of rotation, can effectively reduce the number of laser pulses launch and detector receive random jitter caused by the interference, such as solved the problem of the fuzzy image, is a kind of LRTI multi-angle echoes registration of new ideas.
ZHAO Jia-Qing , DING Xiang , XUE Yong-Hong , XU Zhong-Chao , LI Ze-Ya , ZHANG Lei , FAN Shi-Wei , LIU Rong-Ke
2023, 42(3):418-425. DOI: 10.11972/j.issn.1001-9014.2023.03.018
Abstract:In space-based infrared detecting backgrounds, the presence of clouds would cause serious interference to target detection, making it impossible to continuously detect and track targets and reducing the system’s detecting efficiency. For space-based detecting systems operating in starring mode, the background changes little over a period. It is feasible to analyze the detection system efficiency based on modeling background characteristics. Theoretical analysis, image simulation and analytical modeling methods are used together to perform a fast evaluation of space-based infrared platform availability under complex cloud backgrounds. Firstly, a preliminary evaluation model of space-based detection availability is established through analysis of the signal to clutter ratio when the target is crossing clouds. Factors influencing the detecting availability are determined through analysis. Then, a linear relationship is given between the frame numbers of losing parameters of the target and cloud based on simulated results. A theoretical model of availability is built up by analyzing the physical meaning of each parameter and the coefficient values are determined by regression analysis. Finally, the space-based detecting availabilities of the simulation, preliminary evaluation model, and theoretical model are compared under new simulating conditions, which verifies the correctness and robustness of the theoretical. The model in this work could be used as a reference value for evaluating the space-based optical detection system’s availability.

Editor in chief:Jun-Hao CHU
International standard number:ISSN 1001-9014
Unified domestic issue:CN 31-1577
Domestic postal code:4-335